基本介紹
格雷果里級數是反正切函式的冪級數展開式,由格雷果里(J.Gregory)於1671年得到
格雷果里級數由於這個級數在計算π的歷史中起過重大作用,故以格雷果里命名。由此得到的
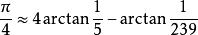
格雷果里級數稱為梅欽公式。早在1706年,梅欽(J.Machin)用它計算π的值精確到了100位小數 。W.香克斯在1873年利用梅欽公式計算π值到707位小數,以後長期保持這個記錄。但在1946年D.F.弗格森發現香克斯的第528位錯了。他後來和美國J.W.小雷思在1948年聯合發表808位準確的π值 。
相關介紹
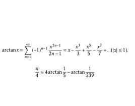
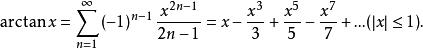
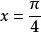
格雷果里級數學過微積分的讀者都知道近代計算π的準確數值的方法,就是利用收斂級數的算法。45度的角度等於 弧度。由麥克勞林定理可以得到所謂“格雷果里級數”:
格雷果里級數
格雷果里級數
格雷果里級數的時候; ,所以
格雷果里級數利用這個級數就可以算出π的數值了。可惜這個級數收斂得很慢,用起來不方便。所以有人就利用
格雷果里級數這個三角關係式來得出
格雷果里級數
格雷果里級數我國清代曾紀鴻就利用這個式子計算π到100位 。
有人想出了收斂得更快的級數,如
格雷果里級數1706年倫敦一位天文教授約翰·梅欽得出下列的式子:
格雷果里級數1874年英國威廉·香克斯(1680-1751)i就利用這個式子用了十五年功夫計算π到707位小數。他這樣做主要目的是要看π是不是一個循環小數,結果到了707位還看不出π是循環小數。1882年德國林德曼證明π是一個“超越數”,就是說π不可能是一個整係數代數方程式的根。超越數是無理數的一種。無理數不能以分數表示出來,只有分數才能以有限小數或循環小數表示出來。無理數以小數表示出來的時候,都是無限的不循環的小數 。
現在把π的真值頭100位小數列出來、
π=3.14159 26535 89793 23846 26433 83279 50288 41971 69399 37510 58209 74944 59230 78164 06286 20899 86280 34825 34211 70679
要記住π的數值,在數種文字里都有些簡短有趣的句子幫助我們記住它。如果只要四位小數,3.1416,在中文裡有“山巔一獅一鹿。”在英文裡有“Yes,I have a number。”Yes有三個字母,I一個,have四個,a一個,number六個。把字母的數目連起來正是3.1416 。

