基本概念
根式的加減法法則各個根式相加減,應先把根式化成最簡根式,然後合併同類根式 。
二次根式加減法法則先把各個二次根式化簡成最簡二次根式,再把同類二次根式分別合併。
同類根式亦稱相似根式,是代數學術語,指做加減法時允許合併的諸根式,當幾個根式化成最簡根式後,如果它們的根指數和被開方數分別都相同,那么這些根式稱為同類根式。例如
根式加減法法則的最簡根式分別為
根式加減法法則因而它們是同類根式,在根式的加減法中,同類根式要合併。一般地,幾個根式總可以化成同次根式,但不一定能化成同類根式 。
根式加減法法則
根式加減法法則同類二次根式:幾個二次根式化成最簡二次根式以後,如果被開方數相同,這幾個二次根式就叫做同類二次根式。如 ,則 是同類二次根式 。
例題解析
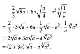
根式加減法法則【例1】計算:
根式加減法法則解:
根式加減法法則
根式加減法法則
根式加減法法則
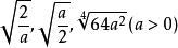
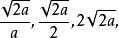
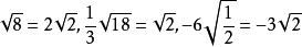
根式加減法法則【例2】計算:
應該先把各個根式化成最簡根式,再把同類根式分別合併。
根式加減法法則
根式加減法法則
根式加減法法則
根式加減法法則
根式加減法法則
