基本介紹
根式乘除法法則:
同次根式相乘(除),把根式前面的係數相乘(除),作為積(商)的係數;把被開方數相乘(除),作為被開方數,根指數不變,然後再化成最簡根式。
非同次根式相乘(除),應先化成同次根式後,再按同次根式相乘(除)的法則進行運算 。
在根式運算中應注意以下幾點:
1.根式運算是在運算有意義的條件下進行的,一般常省掉運算過程中的條件不寫。
2.根式運算的結果若仍含有根式,一般要化為最簡根式。
3.根式的乘、除、乘方、開方運算可化為有理指數冪進行運算。
根式乘除法法則4. ;在限制a是非負數時,方有
根式乘除法法則舉例說明
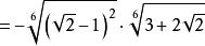
根式乘除法法則【例1】計算: 。
根式乘除法法則解:
根式乘除法法則
根式乘除法法則
根式乘除法法則
根式乘除法法則
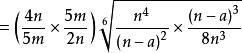
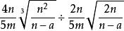
根式乘除法法則【例2】計算:。
根式乘除法法則解:
根式乘除法法則
根式乘除法法則
根式乘除法法則
根式乘除法法則
根式乘除法法則
