發現
1896年法國科學家A.H.貝可勒爾研究含鈾礦物質的螢光現象時,偶然發現鈾鹽能放射出穿透力很強可使照相底片感光的不可見射線。不久人們在加有磁場的雲室中研究這種射線時,證明它是由3種射線成份組成:α射線、β射線和γ射線。貝可勒爾在發現放射性現象的同時使用照相底片(最初的核乳膠)實現了人類歷史上的第一次核輻射探測。雲室、核乳膠等成為了最早的核輻射探測方法。
延伸用途
核輻射探測廣泛用於核物理,核技術套用,輻射防護和工業領域。
① 強度測量,為對單位時間內粒子計數的測量。
如:源活度測量,背散射譜測量,溝道效應測量,環境放射性水平,中子注量測量等
② 能譜測量,為對核輻射強度隨能量的分布測量。
如:α,β,γ能譜。
③ 符合測量,為對一種輻射的兩個以上參量或對兩種以上相互關聯的輻射進行的測量,還包括上述參量和核輻射之間的時間關係進行的測量。
如:γ能譜符合測量,激發態壽命測量,正電子湮沒壽命測量,飛行時間測量。
④ 位置測量,對核輻射的出射方向和輻射源位,以及粒子的運動徑跡進行的測量。
如:多絲正比室對粒子出射方向的測量,核乳膠和固體徑跡探測器對宇宙射線的測量,各種成像測量。
射線與物質的相互作用
核輻射與物質的相互作用,在原於和原子核物理、固體物理、核輻射探測和防護、核技術套用和核能利用等許多領域中有著重要的意義,對許多有關物理現象的分析、解釋,以及在許多有關的實際商用、研究工作中實驗方案和方法的確定,都要以射線與物質的相互作用為基礎。
我們這裡所說的射線(核輻射) ,泛指核衰變或核裂變放出的粒子和由加速器加速的離子或核反應產生的各種粒子,包括α,He,p、d,t 等重帶電粒子,重離於和裂變碎片e、e等輕帶電粒子,γ、X 射線,中子等。所說的物質,指各種化學元素,可以是單質,也可以是化合物或棍合物,可以是氣體、液體和固體狀態(包括無定形、多晶和單晶體) 。
下面將討論α、β、γ射線、重離子和中子與物質的相互作用。由於α、β是帶電粒子,而γ光子是不帶電的,因此它們與靶物質原於發生作用的機制不同,它們的能量損失情況和粒於被物質吸收規律就不同,即使α、β及重離子都是帶電粒子,由於它們的質量相差很大,它們在穿透靶物質時的行為也有不同,我們將分別加以討論。中子與物質的相互作用,主要是中子通過核反應產生次級重帶電粒子或中子誘發裂變的裂變碎片,這些二次粒子再與物質發生作用。至於其它高能粒子,它們與物質相互作用的行為有其特殊性,一般不包含在中低能核輻射與物質的相互作用的研究領域內。
帶電粒子與靶物質原子的碰撞
1.帶電粒子與靶物質原子的碰撞
α、β射線(或稱粒子)和重離子穿過靶物質時,與靶物質原子的電於和原子核發生一系列相互作用。這些相互作用決定了帶電粒子在靶物質中的命運,讓我們來考察一下載能帶電粒子穿透靶物質時的一般行為。
① 帶電粒子在靶物質中的慢化
當一束準直的快速帶電粒子(如α粒子) ,入射到靶物質(或稱吸收物質和阻止物質)中,帶電粒子與靶原子中的電子和與靶原子核發生庫倫相互作用,主要是與靶原子中電子的碰撞。碰撞時發生動量和能量轉移,入射粒子的一部分動能轉移給靶原子中的電子或靶原子核。每一次碰撞時,靶原子中的電子獲得的動能,相對於入射粒子的能量來講,只是占其且能量的很小一部分,最大的為入射粒子能量E 的1/500,這裡E 是每個核子的能量。例如,入射粒子為2MeV的α 粒子,每個核子能量為500keV.單次碰撞中,靶原子中一個電子獲得的最大能量為lkeV。可見,這是一種小能量轉移碰撞,每次碰撞後,入射粒子能量減少不多,方向幾乎沒有改變。所以入射帶電粒子穿過靶物質時,要與靶原子中的電子連續地發生許多次這樣的小能量轉移碰撞,才逐漸損失能量。同時,隨著粒子速度減慢,在速度小到一定程度時,要發生電荷交換效應。低速運動粒子從靶物質中俘獲電子,從而使原來高速運動時完全剝離了電子的入射粒子,其有效核電荷數隨粒子速度的減小而逐漸減少。如果靶物質厚度足夠大,入射帶電粒子與靶原子電子或靶原子核經過許多次碰撞後(例如,一個初始能量為1MeV 的重帶電粒子,在靶物質中要經受10次彈性和非彈性碰撞) ,能使入射帶電粒子能量全部耗盡,成為中性原子,停留在靶物質中,帶電粒子阻止在靶物質中所需時間可以從它的射程和平均速度推算出來問。對MeV 量級的α 粒子和質子,整個慢化過程是在10s(氣體物質中)到10 s(固體物質中)時間內完成的。
可見,載能帶電粒子在靶物質中的慢化過程,完全是由帶電位於與靶物質原子中的電子和與靶原子核發生各種相互作用的結果。歸納起來,帶電粒子與靶物質原子的相互作用有下列四種
(1)與核外電子發生非彈性碰撞;
(2)與原子核發生彈性碰撞;
(3)與原子核發生非彈性碰撞;
(4)與核外電子發生彈性碰撞。
這些相互作用都是入射帶電粒子在靶原子的核外電子和靶原子核的庫侖場中的作用。當然,入射帶電粒子也可以穿過原於核的庫侖位壘,與原於核發生核反應,但它對帶電粒子的慢化沒有影響,帶電粒子與物質的相互作用研究中一般不涉且帶電粒子核反應過程。
下面我們再仔細看一下這四種碰撞過程所引起的入射帶電粒子運動狀革相靶物質原子狀態的變化.
② 帶電粒子與靶物質原子的碰撞過程
(1)帶電粒子與靶物質原子中核外電子的非彈性碰撞
當帶有正電荷或負電荷的載能粒子從靶物質原子近旁掠過時,入射粒子和靶原子的核外電子之間的庫侖力作用,使電子受到吸引或排斥,從而使電子獲得一部分能量。如果傳遞給電子的能量足以使電子克服原子的束縛,那么這電子就脫離原子,成為自由電子。這時靶原子就分離成個自由電子和一個失去了一個電子的原子——正離子,這種過程稱為電離。原子最外層的電子受原子核的束縛最弱,故這些電子最容易被擊出。電離過程中發射出來的自由電子,有的具有足夠的動能,可繼續與其它靶原子發生相互作用,進一步產生電離。這些高速的電子有時稱為δ 射線。當原子的內殼層電子被電離後,在該殼層留下空位,外層電子就要向內層躍遷,同時放出特徵X 射線或俄歇電子。
如果入射帶電粒子傳遞給電子的能量較小,不足以使電子擺脫原子核的束縛成為自由電子,但可以使電子從低能級狀態躍遷到高能級狀態(使原子處於激髮狀態) ,這種過程稱為激發。處於激髮狀態的原於是不穩定的,在激發態停留很短時間之後,原子要從激髮狀態躍遷回到基態,這種過程稱為退激。退激時釋放出來的能量以光的形式直射出來,這就是受激原子的發光現象。
帶電粒子與靶原於中核外電子的非彈性碰撞,導致原子的電離或激發,是帶電粒子穿過物質時損失動能的主要方式。我們把這種相互作用方式引起的能量損失稱為電離損失,或者稱它為電子碰撞能量損失或非彈性碰撞能量損失。從靶物質對入射粒於的阻止作用來講,也可稱電子阻止。
(2)帶電粒子與靶原子核的非彈性碰撞
入射帶電粒子靠近靶物質的原子核時,它與原子核之間的庫侖力作用,使入射粒子受到吸引或排斥,結果使入射粒子的速度和方向發生改變。入射粒子的這種運動狀態的改變,伴隨著發射電磁輻射,並使入射粒子的能量有很大的減弱。當人射帶電粒子與原子核發生非彈性碰撞時,以輻射光子損失其能量,我們稱它為輻射損失。α粒子質量較大,與原子核碰撞後,運動狀態改變不大。β粒子質量較小,與原子核碰撞後運動狀態改變很顯著,因此,β粒子與物質相互作用時,輻射損失是其重要的種能量損失方式。
帶電粒子與靶原子核的非彈性碰撞,除了改變粒子的運動狀志、輻射光子外,α粒子、質子和其它離子還可以使靶原子核從基態激發到激發態,這過程稱為庫侖激發,但發生這種作用方式的相對機率較小,可以起略不計。
(3)帶電粒子與靶原子核的彈性碰撞
在彈性碰撞中,入射帶電粒子靠近靶原子核時,由於它們之間的庫侖相互作用,粒子同樣受到偏轉,改變其運動方向,但不輻射光子,也不激發原子核。在這彈性碰撞過程中,為滿足入射粒子和原子核之間的能量且動量守恆要求,入射粒於損失部分動能,能量轉移給原子核,使之反衝。碰撞後,絕大部分動能仍由入射粒子帶走,但運動方向被偏轉。這樣入射帶電粒子在物質中可繼續與靶原子核進行許多次彈性碰撞。由這種靶原子核發生彈性碰撞引起入射粒子的能量損失,我們稱它為彈性碰撞能量損失,或核碰撞能量損失。從靶物質對入射粒子的阻止作用來講,也可稱核阻止。帶電粒子與靶原子核之間發生彈性碰撞時,原子核獲得反衝能量,可以使晶格原子位移,形成缺陷,即造成靶物質輻射損傷。核阻止作用,只是在入射帶電粒子能量很低時和低速重離子入射時,對能量損失的貢獻才是重要的。同樣由於β粒子比α粒子輕,β粒子所受到的偏轉比α粒子嚴重,因此β射線穿透物質時,電子散射現象嚴重。
(4)帶電粒子與靶原子中核外電子的彈性碰撞
入射帶電拉茲也會與靶物質原子中的核外電子發生彈性碰撞。核外電子的庫倉力作用,使入射粒子改變運動方向。當然,為滿足能量和動量守恆要求,入射粒子要損失點功能,但這種能量轉移一般是很小的,比原子中電子的最低激發能還要小,電子的能量狀態沒有變化.實際上,這是入射粒子與整個靶原子的相互作用。因此,這種相互作用方式只是在極低能量(100eV) 的β粒子入射到物質時方需考慮,其它情況下完生可以忽略掉。
以上討論的入射帶電粒子在靶物質中與靶原子的電子或原於核發生的各種相互作用方式其機率大小,對不同種類的帶電粒子和粒子的不同能量區域,情況是十分不同的,而且,同種相互作用機率大小,與不同的靶物質元素也有關係。因此,這些相互作用中的各種作用方式對入射帶電粒子的阻止作用的貢獻大小不同,在一定的情況下,可只考慮某一種起主要貢獻的相互作用,而忽略其它的相互作用。所以,在討論載能帶電粒子與物質相互作用的時候,常常要區分"輕"帶電粒子(例如,電子和正電子)和"重"帶電粒子(例如,質子、氘核和α 粒子等)。以及要區分快速和慢速粒於,分別進行討論。比氦離子更重的重離子與物質的相互作用,將在重離於與物質相互作用中加以討論。
重帶電粒子與物質的相互作用
1.重帶電粒子與物質的相互作用
當載能重帶電粒子入射到靶物質時,與靶原子發生相互作用而損失其能量。我們可以把這能量損失分成兩部分與靶原子的核外電子的非彈性碰撞能量損失和與靶原子核的彈性碰撞能量損失,即電子阻止和核阻止兩部分。對於快速的重帶電粒子,主要是第一部分,而第二部分可忽略不計(後者比前者小三個量級)。只是在人射重帶電粒子能量很低時,才需考慮核彈性碰撞對能量損失的貢獻。由於重帶電粒子的質量大,與電子非彈性碰撞後運動方向幾乎保持不變,因此重帶電粒子在物質中運動徑跡近似是直線。由重帶電粒子與靶原子核的非彈性碰撞引起的輻射能量損失,也完全可以理略掉。
① 重帶電粒子在物質中的能量損失
(1)快速重帶電粒子的能量損失
快速重帶電粒子穿過靶物質原子電子云時,與電子發生非彈性碰撞,使入射粒子的一部分能量轉移給電子,導致靶原子電離或激發。
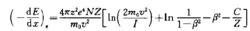
核輻射探測[詞語釋義] 根據量子理論並考慮了相對論和其它修正因子,推導出來的重帶電粒子在靶物質中的電子阻止本領(電離能量損失率)精確表達式(稱為Bethe-Block 公式)為:
式中β=v/c,c是真空中光速,方括弧中的第二、三項是相對論修正值,I是靶原子的平均激發和電離能,它是能量損失率公式中的個重要參數,對每種靶元素的平均激發能的精確計算很難做到,通常認為它是一個由實驗確定的經驗參數。C/Z是殼修正項,是當入射粒子速度不能滿足大於靶原於內層電子軌道速度這條件時,束縛得很緊的內層電子不能被電離和激發(即K ‘ L 、M 等內層電子不能參與對入射粒於的阻止作用)而引進的修正項。 這裡的C=C 十C十C +... 。 殼修正項在入射粒子速度低時顯得重要。
由上述的電於阻止本領理論公式,可以得到以下幾點結論:
a.阻止本領只與入射粒子的速度有關(1/v),而與它的質量元關。這是由於重帶電粒子質量比電子的靜止質量大得多的緣故。
b.阻止本領與重帶電位子的電荷數平方成正比。
c.阻止本領與靶物質的NZ 有關。高原子序數和高密度物質具有較大的阻止本領.
(2)低速重帶電粒子的能量損失
當重帶電柿子的速度低於軌道電子的平均速度歸
(3)核阻止本領
在前面討論高速和低速重帶電粒於的能量損失時,只是考慮了與靶原於的電子碰撞引起的電離損失(電子阻止)。認為入射粒子與靶物質原子核的彈性碰撞引起的能量損失(核阻止)相對於入射粒子與電子的非彈性碰撞引起的能量損失來講是不重要的。對p 和α粒子,只是在很低能量時,才需考慮核阻止的貢獻,這時核阻止作用的貢獻可以與電子阻止作用的貢獻相比較,甚至能超過電於阻止作用的貢獻。當入射離子是低速重離子時,核阻止作用就顯得重要了,這將在重離於能量損失時進步討論。
dE/dx隨入射粒子速度的變化曲線 如果我們把從低能到高能的重帶電粒子的阻止本領與入射粒子能量E 的關係,畫成下圖所示的曲線(圖中橫坐標以靶物質的靜止能量為單位)。我們看到在高速Bethe-Block 公式適用區域,(dE/dx)正比於(1/v),速度稍低時,應考慮殼修正。在低速區,(dE/dx)正比於v,這是低速區的最為顯著的特點。在中理區尚無告適的理論計算公式,實際使用時都是一些實驗數據的擬古公式。
(4)能量歧離現象
在前面討論重帶電粒子能量損失時,我們已知道帶電粒子是與靶物質原子中的電子和靶原子核發生許多次碰撞而損失能量的。對任何個特定的入射粒子來說,它沿著徑跡所經歷的碰撞拉數及每次碰撞時所轉移的能量都是隨機變化的。對一柬具有相同能量的入射粒子來講,它們在靶物質中碰撞過程的統計漲落,使能量損失有一分布(也就是相同能量的入射粒子,在靶物質中穿過同距離後,這些粒子的能量損失不是相等的)。我們前面所說的能量損失是對所有入射粒子求平均而得到的平均能量損失,而每個別粒子的能量損失是在這平均值附近漲落。這種能量損失的統計分布稱為能量歧離。能量損失的歧離卦布可以用高斯分布來描寫。
質子穿過薄吸收體前後的能譜 例如,3MeV 的單能質子束,穿過3.3mg/cm2的金箔後,能量減小了0.117MeV,而能量分散性增加5 倍(穿透前譜線的半寬度FWHM 是6. 5keV ,穿過物質後是34. 4keV),如下圖所示。
所以,當一柬單能重帶電粒子入射到靶物質上,在表面時,能量分布很竄,越到靶子深部,平均能量越來越小,能量分布越來越寬。在進行核物理實驗測量時,特別是能譜分析時,應考慮這種譜線展寬現象。
① 重帶電粒子在物質中的射程
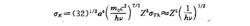
(1)比電離
α粒子和質子的比電離測量結果 重帶電粒子穿過靶物質(也稱吸收體)時,使物質原於電離,產生電於離於對。這是人射粒子直接引起的電寓,稱為原電離。電離過程中班出的δ電子,具有幾千電子伏的動能,它可以進一步引起原子電離,產生更多的電子離子對,稱為次電離。在吸收體中總的電離是這兩部分電離之和,已知重帶電粒於在物質中單位路程上的能量損失是與粒子速度、粒子的電荷態有關的,所以單位路程上產生的電子離子對數目也就與粒子速度和電荷態有關。同種粒子,速度慢的在單位路程上產生的電子離子對數目較多;速度相同的粒子,電荷態高的,在單位路程上產生的離子對數目較多。因此,重帶電粒子貫穿物質時,從路程的開始端到路程的末端(粒子速度等於零),路上所產生的電子-離子時數目分布是不均勻的。我們把單位路程上的離子對數目稱為比電離,以S表示,下圖是α粒子和質子的比電離測量結果。當粒子接近它的路程末端時,比電離達到最大值,這對應於電離損失率的最大值。越過峰值之後,由於粒子能量幾乎耗盡,比電離驟然下降,很快就降到零。.比較圖中給出的α粒子和質子的比電離曲線。
(2)α粒子的射程
帶電粒子在物質中運動時,不斷損失能量,待能量耗盡,就停留在物質中。它沿原來入射方向所穿過的最大距離,稱為入射粒子在該物質中的射程,以R表示。應當指出,“射程”和“路程”是兩個平同的概念,射程(投影射程)是指入射粒子在吸收物質中,沿入射方向從入射點到它的終止點(速度等於零)之間的直線距離,亦即沿入射方向穿透的深度。而路程則是入射粒子在吸收體中所經過的實際軌跡的長度。一般路程大於射程,路程在入射方向上的投影就是射程。
測量α粒子空氣中射程的實驗裝置和測量結果 重帶電粒子的質量大,它與核外電子非彈性碰撞和它與原於核的彈性碰撞作用,不會導致入射粒子的運動方向有很大的改變,它的軌跡幾乎是直線,因此可以認為射程近似地等於路程長度。
上圖畫出了測量α 粒子在空氣中的射程的實驗裝置,一端放置一個α放射源,α射線經準直器準直後進入α粒子探測器進行計數,探測器可沿α粒子的出射方向移動。改變探測器離源的距離,測量α粒子的計數率,即可得到圖(b)中所示的曲線a。在開始一段距離時,計數率保持不變,表明α粒子沒有被空氣吸收。當增加到一定距離時,計數率很快下降, 直降到零。這顯示α粒子貫穿了這距離的空氣層被吸收掉,全部停留在附近的區域內。距離為時,α粒子的計數降至原來的一半。對曲線a 求導,便可得到曲線b。曲線b 代表單位路程上的α粒子數的變化按路程的分布,稱為微分曲線。它表示大多數α粒子停留在處,就是α位於在空氣中的平均射程。由於碰撞過程的統計漲落,不僅引起能量歧離,而且還造成粒子在物質中的射程歧離現象,即能量相同的人射粒子束,它的射程長短有一分布,個別粒子的射程是在平均值附近漲落的。p,a等重帶電粒子,射程漲落的大小是平均射程值的百分之幾。相同速度的p 和α粒子,在同一物質的射程相同,但質子的射程歧離是α粒子的射程歧離的兩倍。對低速的離子,電子阻止對射程歧離的貢獻可忽略,主要是核阻止過程決定著射程歧離。另外,一束具有相同人射方向的帶電粒子,與靶核碰撞而產生小角度偏轉。在靶物質中穿過一定厚度時,許多次碰撞結果,導致粒子角度偏轉有分布。多數沿著入射束方向出射,部分粒子偏離原來方向,向兩側出射,即存在著角度(運動方向)歧離,可用角度偏轉的均方值來表示。我們測量或計算的射程都是指平均射程而言.射程的單位可用cm 或mg/cm 表示。α粒子、質子在不同物質中的射程與能量關係有圖表可查,也有電腦程式可計算,其中TRIM 程式己廣泛套用。
重離子與物質的相互作用
1.重離子與物質的相互作用
由於重離子核反應方面的研究工作和半導體材料、金屬材料中離子注入研究且重離子柬表面層分析工作等迅速開屜,迫切需要了解重離於與靶物質相互作用的行為和重離子在物質中的阻止本領數據。
所謂“重離子”,是指z>2 的所有失去了部分電於的原於(正離子),或有過剩電子的原子(負離子),一般都是指正離子。有時把裂變碎片也歸併在這兒起討論,找們前面講重帶電位子與靶物質原子相互作用。當一定電荷態的重離於穿過靶物質時,除了上述的入射離子的原於核與靶原子電子和靶原子核之間的作用外,還有靶原子核與入射離子中束縛電子之間的庫倉作用,以及入射離子中的電子與靶原子中電子之間的相互作用。離子的束縛電子與靶原子電子之間的相互作用,對阻止本領的貢獻是很小的,只是在重離於速度很低時,才予考慮。當離子速度大時,主要是通過電離(包括多重電離)、激發靶原子過程使離子慢化。所以重離子在物質中的能量損失機制,與質子、α粒子等重帶電粒子的能量損失機制相比較,原則上講沒有本質的不同。如果離於能量很高,離子的核外電子完全被剝離時,前面講的能量損失率公式式也是適用的。但由於重離子的內層電子束縛得很緊,一般不能使重離於的軌道電子全部剝離,離子的電荷態並不等於它的核電荷數。而且,當重離子穿過靶物質時,離子的電荷在要發生變化。這與前面討論的快速運動的p 和α粒子時的情況不同。在討論快速質子和α粒子的能量損失時,通常認為可以組略的一些因素(主要有兩方面因素:①電荷交換效應,②核阻止作用),卻起著重要的作用。
β射線與物質的相互作用
1.β射線與物質的相互作用
這一節里我們討論輕帶電粒子(包括β射線、單能電子以及正電子)與靶物質的相互作用。電於質量小,所以它在物質中的能量損失情況和運動軌跡與重帶電粒子相比很不一樣。電子與靶原子的作用,主要引起電離能量損失、輻射能量損失和多次散射。電子在物質中的運動徑班則十分曲折。
(1)電子的能量損失
a. 電離損失
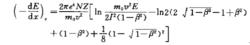
核輻射探測[詞語釋義] 快電子通過靶物質時,與原子的核外電子發生非彈性碰撞,使物質原子電離或激發,因而損失能量,這與重帶電粒於情況相類似。電離損失(電子碰撞能量損失)是β射線在物質中損失能量的重要方式。但由於入射電子質量與跟它發生相互作用的靶原子軌道電子質量一樣,一次碰撞損失很大部分能量(最大能量轉移可為電子能量的一半,大多數情況下的平均能量轉事為幾個keV)。 碰撞後入射電子運動方向有較大的改變。由非彈性碰撞所引起的電子能量損失的表達式,在低能時為:
核輻射探測[詞語釋義] 在高能時,應考慮相對論效應,表達式為:
式中E 為人射電子的動能(總能量一靜止能量)。我們可以看到,上式與重帶電粒子的Bethe-Block 公式相比,電子的(-dE/dx)也是與粒子的速度平方成反比。在能量相同的情況下,電子的速度比α粒子的速度大得多,因而電子的電離損失率比α粒子要小得多。而它穿透物質的本領比α粒子大得多。
由於β粒子的能量損失率較小,所以β粒子的比電離值較小,即β粒子的電離本領是較弱的。相協日, 4MeV的α粒子,在水中每微米能產生3000 對電子-離子對,而1MeV 的β粒子每微米只產生5 對。
b. 輻射損失
β粒子穿過物質時,除了使原子電離或激發損失能量外,還有另一種損失能量的方式——輻射損失。這是β粒子與物質原子的原子核非彈性碰撞時產生的一種能量損失。根據經典電磁理論,當帶電粒子接近原於核時,速度迅速減低,會發射出電磁波(光子)。這種電磁輻射叫軔致輻射。例如,入射帶電粒子受到靶物質原子核庫侖場的作用,使它的運動速度大小和方向發生變化,即有加速度時,總是伴隨著發射電磁波。如X光管中,電子束打到鎢靶上就產生韌致輻射(X 射線)。電子加速器的高能電子束轟擊靶子產生韌致輻射。
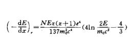
核輻射探測[詞語釋義] 根據電磁理論,電磁波的振幅正比於加速度,而加速度正比於入射帶電粒子和原子核之間的庫侖力,即加速度正比於zZ /m 。因此,電磁輻射的強度(對各種能量的光子積分)正比于振幅的平方。根據量子電動力學可以得出,韌致輻射引起的電子輻射能量損失有如下的關係:
式中m 是入射粒子的質量;E為入射粒子能量;z和Z分別為人射粒子的電荷數和靶物質的原子序數;N為單位體積中物質的原子數;腳標r表示輻射損失;c 為光速。從式中可以看到:
輻射能量損失率與z成正比,與m成反比。因此,電子的輻射損失率,或電子的韌致輻射強度比α粒於、質子和重離子要大得多,因此,對重帶電粒子和重離子的韌致輻射引起的能量損失完全可以理略不計。
輻射能量損失率與Z成正比。表明電子打到重元素靶物質中,容易發生韌致輻射.這一特性對選擇合適的材料來阻擋β粒子很重要。因為電離損失率與Z 成正比,從電離損失考慮,採用用高Z元素來阻擋β粒子; 然而,這生產生很強的韌致輻射,反而起不到防護作用,所以應採用低Z元素防護β粒子。
輻射能量損失率與粒子能量E成正比。這點與電離損失是不同的,所以電於能量低時,電離損失占優勢;能量高時,輻射損失變得重要了。電子的總的阻止木領為碰撞損失(電離損失)和輻射損失之和。
電子的輻射損失和電離損失 對於鉛Z=82,當E>10MeV 時,兩種能量損失的相對重要性明顯變化。而時於水和空氣,當E>100MeV 時,兩種損失的貢獻大小明顯不同。對於常用的β放射源,電子能量不過幾個兆電於伏,因此主要的仍是電離損失。由電子加速器引出的電子束,能量較高,而且束流較大,因此韌致輻射強度根強。
在韌致輻射過程中,入射電子原來的動量由原子核、光子和被偏轉的電子三者之間分配,所以韌致輻射光於可以具有任何動量值,對應的光子能量, 是連結譜。能量從零到最大值等於電子的動能,故韌致輻射也稱連續X射線。能量低時,光子帶走的動量較小,所以光子向各個方向發射;能量高時,光於傾向於前向發射。下圖給出了電子在鈹和金中的韌致輻射強度(對所有能量的光子積分)的角分布。
電子在鈹和金中的韌致輻射的角分布 帶電粒子穿過物質時發射電磁輻射的現象,除了韌致輻射外,還有另一種輻射過程——切倫科夫輻射。這是帶電粒子使原子暫時極化,當退極化時,發射光子。
(2)電子的散射
β粒子與靶物質原子核庫侖場作用時,只改變運動方向,而不輻射能量,這種過程稱為彈性散射。由於電於的質量小,因而散射角度可以很大(與α 粒子相比,β粒子的散射要大得多),而且會發生多次散射,最後偏離原來的運動萬向。同時,入射電子能量越低,且靶物質的原子序數越大,散射也就越厲害。粒子在物質中經過多次散射,其最後的散射角可以大於90" ,這種散射稱為反散射。低能電子在高原子序數Z厚樣品物質上的反散射係數高達50,所以在實驗中,宜用低Z物質來做源的托架,以減少反散射對測量結果的影響。然而J 粒子的
(3)β射線的射程和吸收
β粒子和重帶電粒子在物質中的射程有著顯著的差異。首先β粒子的能量損失率比α 粒子小,因此它比α粒子具有更大的射程。例如,在空氣中,能量為4MeV 的β射線,射程是15m;而相同能量的α粒子,射程只有2.5cm。此外,α粒子與靶原子電子多次碰撞逐漸損失能量,幾乎是直線行走的,只是在射程末端與靶原子核的碰撞才使徑跡有些偏離直線,因而α粒子有確定的射程(平均射程)概念。α粒子的射程與徑跡長度近似相等,粒子數只是在平均射程附近有明顯的吸收。只是由於能量歧離效應,存在射程歧離現象。而對電子來講,射程概念不如重帶電粒子時那樣確切。由於電子質量小,在電離損失、輻射損失和與核的彈性散射過程中,電於運動方向有很大的改變,這樣使β粒於穿過物質時走過的路程十分曲折。因而路程軌跡長度遠大於它的射程。一束準直的單能電子入射到靶物質中後,由於能量損失的統計漲落較大和多次散射現象,電子的射程的不確定性大大增加。射程歧離可達射程值的10%-15% 。歧離效應較大是因為在如射電子與靶原子電子的非彈性碰撞和在輻射能量損失中,能量轉移總是較大所致。
觀察β射線的吸收現象的實驗裝置和吸收曲線 β射線或單能電子束穿過一定厚度的吸收物質時,強度減弱的現象叫吸收.下圖是觀察β射線吸收現象的實驗裝置示意圖。讓β射線穿過吸收片後,到達探測器。記錄它的強度隨吸收片厚度的變化,作圖得到吸收曲線。
先討論單能電子束。由於電於的散射厲害,即使吸收片很薄時,有部分電於也會偏離原來的入射方向,不能到達探測器;只有方向改變小的那些電子才能到這探測器被記錄。所以單能電子的吸收曲線(b)一開始就立即下降。圖中縱坐標為透射率,以線性坐標表示。當吸收片厚度增加時,電子能量不斷損失,散射偏轉越來越大,到達探測器的電子數越來越少,漸漸趨近於零。單能電子的吸收,粗略地是隨厚度線性變化的。它與單能α粒子的吸收曲線很不一樣。 一般把單能電子的吸收曲線的線性部分外推到零,來定出電子的射程——外推射程。電子束的平均射程近似等於平均路程的一半。電子通過物質時,不僅能量減小,而且能量歧離現靠很嚴重。
對於β粒子,能量連續分布,它的吸收曲線與單能電子的吸收曲線有明顯的不同。即使吸收片很薄時,β譜中能量低的電子很快被吸收,因此,β吸收曲線的開始部分斜率變化更大。對β譜中每小能量間隔內的電子,可以認為它遵循線性吸收規律,但由於β譜中電子能量連續分布,和不同能量的電子其吸收曲線的斜率不同,線性迭加結果,對β譜的主要部分來講,吸收曲線近似地為指數曲線,如圖(c)所示.因此,對β粒子沒有確定的電子射程可言。可以用與β射線能譜中電於最大能量所對應的射程來表示β射線的射程,稱β射線的最大射程R,在吸收曲線上外推到淨計數為零的地方,與橫軸主點即為最大射程。
另外,與在討論重帶電粒子的能量損失與射程時一樣,在討論電子的能損和射程時用質量厚度來表示靶厚度是很有用的。粒子穿過相同質量厚度的不同吸收物質時,與粒子發生碰撞的電子數目大體相同,所以用質量厚度表示時,對Z相差不是太大的靶物質,其阻止本領和射程大體是相同的, dE/ρdx正比於Z/A,對絕大多數元章,Z/A=I/2,對那些原子序數相近的物質(例如空氣、鋁、塑膠和石墨等),儘管它們的密度差異很大,射程值(以質量厚度為單位)卻近似相同。
(4)正電子與物質的相互作用
正電子通過物質時,也和負電子樣,要與核外電子相原子核相互作用,產生電離損失、輻射損失和彈性散射。儘管負電子和正電子與它們作用時受的庫侖力或為排斥力或為吸引力,因它們的質量相等,因此能量相等的正電子和負電子,它們在物質中的能量損失和射程是大體相同的。上述對於負電子的討論,對於正電子也同樣適用。可是,正電於有其明顯的特點。 高速正電子進入物質後很快被慢化,然後在正電子徑跡末端遇負電子即發生湮沒,放出γ光子;或者,與一個負電子結合在一起,形成正電子素,衰變後轉變成電磁輻射(即形成正電子素後才湮沒。正負電子湮沒放出的γ光子稱為湮沒光於。從能量守恆考慮,在發生湮沒時,正、負電子動能為零,所以兩個湮沒光子的總能量應等於正、負電子的靜止質量。同時,從動量守恆考慮,由於湮沒前的正、負電子的總動量等於零,湮沒後,兩個湮沒光子的總動量也應為零。因而,兩個湮沒光子能量相同,各等於mC=0. 511MeV。兩個光子的發射方向相差近似180度。並且湮沒光子的發射是各向同性的。0. 51l MeV 的光子貫穿靶物質的深度比正電子射程大,導致能量沉積遠超過原來的正電子徑跡範圍。
(5) γ射線與物質的相互作用
(1)γ射線與物質相互作用的一般特性
γ射線、韌致輻射、湮沒輻射和特徵X射線等,雖然它們的起源不一、能量大小不等,但都屬電磁輻射。電磁輻射與物質相互作用的機制,與這些電磁輻射的起源是無關的,只與它們的能量有關,所以我們這裡討論的γ射線與物質的相互作用規律,對其它來探產生的電磁輻射也是適用的。
γ射線與物質的相互作用和帶電粒子與物質的相互作用有著顯著的不同。γ光子不帶電,它不像帶電位於那樣直接與靶物質原子、電子發生庫侖碰撞而使之電離或激發,或者與靶原子核發生碰撞導致彈性碰撞能量損失或輻射損失,因而不能像帶電粒子那樣用阻止本領dE/dx和射程來描寫光子在物質中的行為。帶電粒子主要是通過連續地與物質原子的核外電子的許多次非彈性碰撞逐漸損失能量的,每次碰撞中所轉事的能量是很小的(小能量轉移碰撞)。而γ光子與物質原子相互作用時,發生一次相互作用就導致損失其大部或全部能量(大能量轉移),光於不是完全消失就是大角度散射。
γ射線與物質相互作用,可以有許多種方式。當γ射線的能量在30MeV 以下時,在所有相互作用方式中,最主要的三種是:
光電效應。γ光子與靶物質原於相互作用,光子的全部能量轉移給原於中的束縛電子,使這些電子從原於中發射出來。γ光子本身消失。
康普頓效應(又稱康普頓散射)。入射γ光子與原子的核外電子發生非彈性碰撞,光子的一部分能量轉移給電子,使它反衝出來,而光子的運動方向和能量都芷生了變化,成為散射光子。
電子對效應。γ光子與靶物質原子的原子核庫侖場作用,光子轉化為正負電子對。
1.光電效應。γ光子與靶物質原於相互作用,光子的全部能量轉移給原於中的束縛電子,使這些電子從原於中發射出來。γ光子本身消失。
2.康普頓效應(又稱康普頓散射)。入射γ光子與原子的核外電子發生非彈性碰撞,光子的一部分能量轉移給電子,使它反衝出來,而光子的運動方向和能量都芷生了變化,成為散射光子。
3.電子對效應。γ光子與靶物質原子的原子核庫侖場作用,光子轉化為正負電子對。
除了上述三種主要相互作用方式外,其它一些相互作用方式有:
相干散射。低能光子(hν<
光致核反應。大於一定能量的γ光子與物質原子的原子核作用,能發射出粒子,但這種相互作用的大小與其它效應相比是很小的,所以可以忽略不計。
核共振反應。入射光子把原子核激發到激發態,然後退激時再放出γ光子。
光子能量在100keV ~ 30MeV 範圍內,所有這些次要的相互作用方式對於γ射線的吸收所作的貢獻小於1 %,所以下面我們只討論前面三種主要作用方式。
γ射線與物質發生上述三種主要相互作用都具有一定的機率。我們用截面σ這個物理量來表示作用機率的大小。因此有各種作用截面光電效應截面、康曹頓散射截面和電子對效應截面,這些截面稱為部分截面,γ射線與物質相互作用的總截面是這些部分截面之和。
截面大小與γ射線能量和靶物質性質有關。下面我們分別討論這三種主要相互作用方式。
(2)光電效應
γ光子與靶物質原子的束縛電子作用時,光子把全部能量轉移給某個束縛電子,使之發射出去,而且本身消失掉,這種過程稱光電效應。光電效應中發射出來的電子叫光電子。這過程如下圖所示。
光電效應特植X射輯和俄歇電子的直射示意固 原子吸收了光子的全部能量,其中一部分消耗於光電子脫離原子束縛所需的電離能(電子在原於中的結合能)。另一部分就作為光電子的動能。所以,釋放出來的光電子的能量就是入射光子能量和該束縛電子所處的電子殼層的結合能之差。雖然有一部分能量被原子的反衝核所吸收,但這部分反衝能量與γ射線能量相比可以起略。因此,要發生光電效應,γ光子能量必須大於電子的結合能。光電子可以從原子的各個電子殼層中發射出來,但是自由電於(非束縛電子)卻不能吸收入射光自能量而成為光電子。這是因為動量守恆要求,在光電效應過程中,除入射光子和光電子外,還需要有個第三者參加,這第三者就是原子核,嚴格地講是發射光電於之後剩餘下來的整個原子。它帶走些反衝能量,但這能量十分小。由於它的參加,動量和能量守恆都能滿足。而且,電子在原子中束縛得越緊,就容易使原於核參加上述過程,產生光電效應的機率也就越大。所以在K 殼層上打出光電子的機率最大,L 層次之, M、N 層更次之。如果入射光子的能量超過K 層電子結合能,那么,大約80%的光電吸收發生在這K 層電子上。
發生光電子效應時,從原子內殼層上打出電子,在此殼層上就留下空位,並使原子處於激髮狀態。這種激髮狀態是不穩定的,退激的過程有兩種,一種過程是外層電子向內層躍遷,來填補這個空位,使原子恢復到較低的能量狀態,兩個殼層的結合能之差,就是躍遷時釋放出來的能量,這能量將以特徵X射線形式釋放出來。另一種過程是原子的激發能交給外殼層的其它電子,使它從原子中發射出束,這電子稱俄歇電子。因此,在發射光電子的同時,還伴隨著原子發射的特徵X射線或俄歇電子。這些特徵X射線和俄歇電子再與靶物質原子發生作用。
光電子的能量
在光電效應中,可以由能量守恆定律得到。
光電截面
核輻射探測[詞語釋義] 我們把光電效應截面簡稱為光電截面。光電截面太小與γ射線能量和吸收物質的原子序數有關。關於光電截面公式,可由量於力學計算得到。在非相對論情況下,K層的光電截面為:
核輻射探測[詞語釋義] 在相對論情況下,K層的光電截面為:
所以在兩種情況下,都有 σ 正比於Z的關係,隨Z的增大,光電截面迅速增大。這是因為光電效應是γ光子和束縛電子的作用,Z越大,則電子在原於中束縛得越緊,越容易使原子核發生光電過程來滿足能量和動量守恆要求,因而產生光電效應的機率就越大。由於這一事實,我們往往果用高原子序數的材料來探測γ射線,以獲得較高的探測效率。由於同樣的原因,也選用高Z物質作為γ射線的禁止材料。
從上兩式還可以看到, σ 隨 h ν增加而減小。低能時,變化得更快一些,高能時,變化緩慢一些。這一變化趨勢,可粗略地這樣來說明。γ射線能量低時,相對而言,電子被束縛得也就越緊,越容易發生光電效應;而當γ射線能量高時,電子的束縛能相對來說可以忽略不計,這種電於接近“自由電子”,所以光電效應截面就小。
原子的光電截面與入射光子能量的關係 下圖給出了不同吸收物質的光電截面與光子能量的關係,也稱光電吸收曲線。從圖中可以看出,隨E的增大, σ 變小,而隨Z的增大, σ 增大。
在 h ν
