簡介
如右圖所示,柱坐標系中的三個坐標變數是 r、φ、z。與空間直角坐標系相同,柱坐標系中也有一個z變數。其中r為原點O到點M在平面xoy上的投影M‘間的距離,r∈[0,+∞),
柱坐標系φ為從正z軸來看自x軸按逆時針方向轉到OM'所轉過的角,φ∈[0, 2π),z為圓柱高度,z∈R
坐標系變換
1:柱坐標系(r,φ,z)與直角坐標系(x,y,z)的轉換關係:
x=rcosφ
y=rsinφ
z=z
2:同樣的,直角坐標系(x,y,z)與柱坐標系(r,φ,z)的轉換關係:
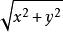
柱坐標系r=
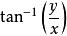
柱坐標系φ=
z=z

