簡介
在束流傳輸系統中,常常需要改變束流中參考粒子軌道的方向和位置,這就需要用到電磁偏轉部件,最常用的偏轉部件是偏轉磁鐵 。
通常所用的偏轉磁鐵是一個偶極磁鐵,兩極面之問有一個間隙磁場,且磁場以間隙中央平面為反對稱平面。
偏轉磁鐵的磁場和偏轉半徑是根據束流中標準粒子的動量來設計的 。
用途
束流導向
由於偏轉磁鐵對帶電粒子束有偏轉作用,在束流輸運線的適當位置橫向放置兩個小偏轉磁鐵,就可以改變或調節束流的傳輪方向,起這種作用的磁鐵叫導向磁鐵。起平移束流軌道位置作用的磁鐵稱為位置校正磁鐵。
磁分析器
束流偏轉磁鐵
束流偏轉磁鐵
束流偏轉磁鐵
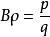
束流偏轉磁鐵在很多傳輸線上,利用均勻磁場來分選粒子,帶電粒子在均勻磁場中受到勞侖茲力而作圓周運動。若粒子的電量為 ,動量為 ,速度為 ,磁感應強度為 ,則有關係式
束流偏轉磁鐵
束流偏轉磁鐵
束流偏轉磁鐵
束流偏轉磁鐵
束流偏轉磁鐵
束流偏轉磁鐵如果 、 一定,則偏轉半徑p與粒子動量 成正比。動量不同的粒子,偏轉半徑不同,如果參考粒子軌道上的粒子動量為 ,束流中任意粒子的動量為 ,束流將以參考軌道為中心按動量大小而散開。這種由於動量分散而引起的束流散開稱為動量色散。利用動量色散可使粒子東中的粒子按其動量不同而分成若干束,使所需要的粒子通過光闌,不需要的粒子被光闌擋住,起這種作用的偏轉磁鐵稱為動量分析器。
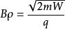
束流偏轉磁鐵若 為粒子的能量,則有關係式
束流偏轉磁鐵
束流偏轉磁鐵
束流偏轉磁鐵
束流偏轉磁鐵
束流偏轉磁鐵當 、 、 一定時,偏轉半隻與粒子的質量 有關,從而可以分選不同質量的粒子束,起這種作用的偏轉磁鐵稱為質量分析器。
束流偏轉磁鐵如果連續調節磁場大小,粒子按質量 有次序地通過光闌孔,在其後面裝一個測束裝置,可以將粒子流接受下來,畫出質譜圖,進行這種工作的儀器稱為質譜儀。
開關磁鐵
調節磁鐵勵磁電流的大小和方向,可以使束流進入不同的支管中,起這種作用的磁鐵叫做開關磁鐵。在加速器的尾部常常需要開關磁鐵,使束流引入不同的靶室進行核物理工作。在設計開關磁鐵時,要仔細選擇磁極邊界的曲率半徑,使各種不同偏轉角度的東流都具有雙方向聚焦作用。
聚束磁鐵
當脈衝束流的能散度要求較嚴格時,可採用磁聚束器。其原理是粒子經過偏轉磁場時,不同的軌道其路程長度不同,渡越時問就不同,因而導致束流的時間離散。然而如果在磁鐵之前配置一掃描裝置,使走在前面的粒子走長軌道,後面的粒子走短軌道,則經過磁場之後,前後的粒子將聚集在一起,起到了聚束作用。由於這種裝置首先由R.C. Mobley提出來的,故稱它為莫布萊磁聚束器。

