定義
強度相同的束流可以有不同的發射度,而發射度大的束流,大部分粒子不能順利加速到預定能量,因此有用部分的強度並不高。反之,發射度小的束流,粒子有效的利用率就高。
因此引入亮度B的概念。亮度表示束流在相空間的密度。
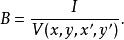
對於連續束,在四維相空間(x,y,x',y')中,定義亮度B為該位置上的束流強度I與相體積V之比:
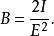
束流亮度對於軸對稱束流,亮度B與發射度之間有如下關係:
束流亮度同樣,為了便於比較不同能量的束流亮度,引入規一化亮度:
束流亮度
束流亮度B值與束流能量無關。亮度的單位為。
束流的亮度越高,表明束流的品質越好。
束流亮度
束流亮度為了提高束流傳輸效率,獲得強束流,必須提高粒子源的亮度。一般規一化亮度總在10 —10 範圍中。高亮度的粒子源已經達到10 水平。
相關概念
束流強度
束流強度,即單位時間內提供的粒子數,取決於粒子源的發射強度、俘獲效率、加速機理、加速過程損失情況及電源的伏安容量等因素。
一般說來,低能加速器的平均流強比高能加速器高得多,直線型加速器平均流強比圓軌道加速器高得多。直接加速方法可獲得連續束,平均流強一般都比較高。高頻共振加速器,每一個高頻周呈現一個微觀的小脈衝束。而所有的磁場或電場參數調變的加速器,每一調變周期呈現一個巨觀的大脈衝束。因而這一類加速器中平均流強又比脈衝流強低得多。
束流能散度
能散度表示束流中帶電粒子能量不均勻的程度。物理實驗大多要求束流能散度小。在研究核與核相互作用的微觀性質時,為了保證核反應和其它物理測量的精確度,為了使尖銳而密集的核反應共振峰得以分開,往往要求轟擊靶子的束流(通過分析器的分析束)能散度達到10 量級。原則上任何一種加速器所提供的束流通過分析器後,均可達到這一量級的能散度水平。但當對分析束的能散度要求一定時,未分析束的能散度愈大,分析束(即符合要求的粒子束)所占比例就愈小。因此就要求加速器提供的束流能散度不大於10 量級。能散度過大時,通過分析器的大部分束流將打在分析器裝置上而產生嚴重的輻射本底,這將降低測量的精度;有時甚至會達到使某些實驗難以進行的地步。
束流發射度
它表示,在能量一定的條件下,若總束流不損失,束斑和張角是相互制約的,無論採取任何聚束手段都不可能同時減小束斑和張角。發射度越小,表示束流中粒子運動狀態的分散性越小,在橫向動量相同的條件下,束腰的半徑就越小。這是束流品質好的主要標誌之一。
