原理
絡合(Complexation)是電子對給予體與電子接受體,互相作用而形成各種絡合物的過程。給予體有原子或離子,不論構成單質或化合物,凡能提供電子對的物質,接受體有金屬離子和有機化合物。分子或者離子與金屬離子結合,形成很穩定的新的離子的過程就叫絡合反應,也成配位反應。
有機絡合物的形成方式
有機絡合物的形成有多種方式,但最常見的是以下兩種:
氫鍵結合
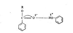
如酯類羰基上的氧原子與酚類羥基上的氫原子之問可發生氫鍵結合,這種結合是依靠電子的吸引而實現的。
在電子吸引過程中,酚基中氫原子和氧原子之間的共用電子對被拉向氧原子,酚基的氫原子又吸引酯類化合物羰基上氧原子的電子。因此在反應式中δ代表電子給予體,δ代表電子接受體,由於兩者之間的吸引而形成有機絡合物。
有機絡合反應偶極分子
強酸和強鹼起中和反應呈鹽(離子化合物)而結合,但弱有機酸和弱有機鹼之間也可以相互結合,由於弱酸不能產生多量的氫離子,弱鹼不能產生多量的氫氧離子,因此一般認為:此種結合不屬於成鹽反應,而應屬於有機絡合反應,但也不能完全排斥成鹽反應。弱有機酸和弱有機鹼的結合是以偶極間力結合為主,也包括成鹽反應而共同形成的,因此生成的有機絡合物是屬於分子結合物或是介於分子結合物與每拎兩者鄉間的物質。
常見有機絡合物
(1)有機羧酸絡合物:有機羧酸的鹽或酯分子的羰基上氧原子常常作為電子給予體(δ),可以與作為電子接受體(δ)的化合物分子中的氫原子或氮原子之間產生偶極間力,而形成有機絡合物。
(2)弱酸弱鹼絡合物:有機胺類物質具有鹼性,有機酸則具有酸性,彼此反應可以成鹽,但在酸性和鹼性都很小的情況下,則不生成離子型化合物,而成為有機絡合物。
(3)多羥基化合物的有機絡合物:多羥基化合物可與一些金屬或非金屬化合物產生絡合作用。所生成的絡合物仍可顯示原來兩種化合物的性質。
(4)高分子絡合物:吐溫類化合物其結構中含有聚乙二醇側鏈,側鏈中氧原子具有孤電子對,為電子給予體(δ),可與作為電子接受體(δ)的化合物。
(5)醯胺類絡合物:醯胺化合物中的乙醯胺、脲、烏拉坦、煙醯胺等可與一些有機化合物絡合,廣泛地套用於藥劑配製。
