術語簡介
最小轉彎直徑包括汽車前外輪、後內輪、最遠點、最近點等分別形成的軌跡圓直徑。
汽車轉彎直徑示意圖其中,前外輪最小轉彎直徑d1是汽車前軸離轉向中心最遠車輪的胎面中心在地面上形成的軌跡圓直徑;後內輪最小轉彎直徑d2是汽車後軸離轉向中心最近車輪的胎面中心在地面上形成的軌跡圓直徑;最遠點最小轉彎直徑d3是汽車車體上離轉向中心最遠點形成的軌跡圓直徑;最近點最小轉彎直徑d4是汽車車體上離轉彎中心最近點形成的軌跡圓直徑。
通常,汽車說明書中給出的轉彎直徑是指外轉向輪的軌跡圓直徑。它是指汽車的外轉向輪的中心平面在車輛支承平面(一般就是地面)上的軌跡圓直徑,即汽車前輪處於最大轉角狀態行駛時,汽車前軸離轉向中心最遠車輪胎面中心在地面上形成的軌跡圓直徑。即圖中d1的直徑大小。
由於轉向輪的左右極限轉角一般有所不同,因此有左轉彎直徑和右轉彎直徑。
轉彎直徑直接影響汽車的機動性。轉彎直徑越小,汽車通過狹窄彎曲地帶或繞開不可越過的障礙物的能力就越強,就越靈活。轉彎直徑與汽車的軸距、輪距及轉向輪的極限轉角直接有關。軸距、輪距越大,轉彎直徑也越大;轉向輪的極限轉角越大,轉彎直徑就越小。
測量方法
傳統方法
汽車最小轉彎直徑國標《汽車最小轉彎直徑、最小轉彎通道圓直徑和外擺值測量方法》(GB/T12540-2009)中規定了對最小轉彎直徑的測量方式,在此簡述如下:
在車身上前車輪胎面中心上方安裝行駛軌跡顯示裝置後,轉向盤轉到極限位置並保持不變,使車輛以較低車速穩定行駛一周,使測點在地面上形成封閉的軌跡圓。用鋼捲尺測量外側前轉向輪的軌跡圓直徑,測量時在相互垂直的2個方向測量出最大值,以此2個方向測值的算術平均值作為試驗結果。車輛立向左轉和向右轉各測量1次,記錄試驗結果,這2個試驗結果就是該車的左、右轉彎直徑。如果左、右轉方向測得的試驗結果之差在0.1m以內,則取左、右轉試驗結果的平均值作為該車最小轉彎直經的最終結果,否則以左、右轉試驗結果的較大值作為最終結果。
需要注意的是,在測量最小轉彎直徑時如果不考慮左、右轉彎直徑差值是否超過0.1m,只是簡單地取兩者的均值作為最小轉彎直徑值,這是不嚴謹的。
智慧型測量
汽車最小轉彎直徑是汽車質量檢驗的一項重要指標該參數的傳統測量方法是:汽車在平坦、硬實的地面比以低速行駛,方向盤轉到極限位置,保持不動。設法使車輪在地面上留下軌跡。然後測量人員用鋼捲尺在互相垂直的兩個方向測量出軌跡圓直徑,取算術平均值作為測量結果。
此法不僅需要較大場地而且準確度低費辦費時,操作不便。不能適應汽車大規模生產對質量檢驗的需要。
因此,可以套用單片機配以精密感測器研製成功智慧型化汽車最小轉彎直徑測量儀,它具有自動測量、存儲、計算顯示數據、列印測量結果等多項功能。並具有操作方便、準確度高等特點。
由於採用了微機技術,克服了該項參數傳統測量方法的缺點,可以較好地實現汽車最小轉彎直徑測量的自動化和智慧型化,這是未來發展的方向。
影響因素
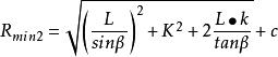
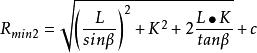
最小轉彎直徑計算示意圖為了解影響整車最小轉彎直徑的因素,必須在轉彎直徑計算公式上下手,分析哪些因素會對最小轉彎直徑的計算產生影響。如下表所示。
| 按外輪轉角計算 | 最小轉彎直徑 |
| 按內輪轉角計算 | 最小轉彎直徑 |
根據 最小轉彎直徑 最小轉彎直徑 | 最小轉彎直徑 最小轉彎直徑 最小轉彎直徑 |
最小轉彎直徑
最小轉彎直徑通過公式可知,影響整車轉彎直徑的主要參數為整車的輪距W、軸距L、主銷距K(主銷接地點之間]的距離)、主銷偏距、外輪轉角 和內輪轉角。
最佳化分析
通過上述影響最小轉彎直徑的因素的分析,可以得到一些最佳化汽車最小轉彎直徑的方案。
車軸距大小
通過更改整車軸距大小來改善轉彎直徑:
最小轉彎直徑
最小轉彎直徑根據公式換算:
在現有車型參數下,軸距每減小100mm轉彎直徑可以降低0.3m左右,改善效果明顯。但此方案涉及大量設計變更,整個車身造型都需進行改動。
輪距
通過減小輪距來來改善轉彎直徑:
根據公式換算:在現有車型參數下,輪距每減小100mn轉彎直徑可以降低0.1m左右,改善效果不明顯,而且此方案會導致懸架整體結構發生變化,更會對懸架KC特性產生不利影響。少量移動沒有效果;大量移動將涉及大量設計變更。
主銷偏移距
主銷偏移示意圖通過更改主銷偏移距來減小轉彎直徑:
最小轉彎直徑現市場車型主銷偏移距皆在30mm之內,而此量廠車型主銷偏移距為-10mm對轉彎直徑影響較小,改動空主銷偏移距單位為mm,間不大;而且此改動對懸架性能影響較大。
車輪轉角
通過更改車輪轉角來減小轉彎直徑:
根據公式換算:
最小轉彎直徑在現有車型參數下,車輪轉角增大,都會對轉彎直徑造成較大影響。車輪內外輪轉角沒增大,轉彎直徑可以降低0.3m左右。而且此種方案對周邊結構影響較小,是比較理想的改進手段。通常而言更改車輪轉角的方案有兩種:
增大齒條行程;
改變轉向梯形結構。
1.增大齒條行程;
2.改變轉向梯形結構。
其中更改齒條行程相對簡單,只需考慮物理上的空間避讓即可;而改變轉向梯形結構需要考慮懸架KC特性,需要重點考慮懸架性能影響。
舉例對比
對於一般的轎車來說,它們的轉彎直徑大約在10到12米之間。例如,一輛轎車的轉彎直徑為10.5米,這就意味著它比其他轉彎直徑大於10.5米的車型在轉向及躲避障礙物時更加靈活。如果一輛轎車轉彎直徑小於10米,那它的轉彎靈活性就相當好了,如果大於12米,就稍顯笨拙。
而一般的SUV車的轉彎直徑大約在11米到13米之間。如果一輛SUV的轉彎直徑小於11米,那它在SUV自身擁有的較強通過性基礎上,還有著不錯的靈活操控性。如果大於13米,就會稍顯不便。
套用與意義
在日常生活中,轉彎直徑對汽車行駛狀態的影響可能並不顯著,人們甚至很難發覺,但隨著百姓生活水平的逐漸提高,人們對車輛的要求已不僅僅是方便出行那么簡單,車主對車輛各項參數性能的要求也越來越苛刻,國家各檢測機構對整車公告參數的卡控也越來越嚴,給企業帶來的緊迫感也越來越強烈。
正是因為用戶開始逐漸關注因左、右轉彎直徑控制不良帶來的一系列問題,所以才有了企業對這項工作的研究與改進。以客戶關注為導向,積極開展自身相關工作的控制與提升,這將是整個汽車製造行業的大勢所在。

最小轉彎直徑
最小轉彎直徑
最小轉彎直徑
最小轉彎直徑 