升阻比
升阻比是指飛行器在飛行過程中,在同一迎角的升力與阻力(也即升力係數與阻力係數)的比值。
最大升阻比其值與飛行器迎角、飛行速度等參數有關,此值愈大說明飛行器的空氣動力性能愈好。對一般的飛機而言,低速和亞音速飛機可達17~18,跨音速飛機可達10~12,馬赫數為2的超聲速飛機約為4~8。
升阻比是評定飛機空氣動力特性、表示飛機氣動效率的一個重要參數,對於固定的飛機它主要是飛行馬赫數與迎角的函式。
定義
最大升阻比是升阻比的最大值。
最大升阻比
最大升阻比
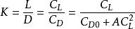
最大升阻比當飛機的飛行高度一定、飛機的構型以及飛行狀態一定時,由於 ,其中 是零升阻力係數, 是升致阻力係數,A是升致阻力因子。
最大升阻比
最大升阻比
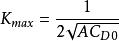
最大升阻比由 可以得到升阻比最大值為 。
與攻角馬赫數
西安交通大學航天航空學院張收運等對某型火箭在亞跨超聲速來流條件下的氣動特性進行了數值模擬,給出了阻力係數、升力係數、升阻比等氣動特性參數隨攻角、馬赫數的變化情況,結果表明:
(1)阻力係數隨攻角增加呈非線性增大;跨聲速來流條件下,當攻角小於等於14度時,升力係數和俯仰力矩係數隨攻角增加近似線性增大;超聲速來流條件下,當攻角不大於6度時,升力係數和俯仰力矩係數隨攻角增加線性增大,當攻角在6度~14度內時,升力係數和俯仰力矩係數隨攻角增加開始非線性增大;當攻角大於等於18度時,升力係數和俯仰力矩係數隨攻角增加非線性增大,且跨聲速段受馬赫數影響較大。
(2)當攻角小於等於14度時,來流在亞聲速範圍內,阻力係數隨馬赫數增加變化不大;進入跨聲速階段,由於波阻的出現,阻力係數隨馬赫數增加迅速變大;進入超聲速階段,阻力係數隨馬赫數增加緩慢減小。當攻角大於等於18度時,升力係數、俯仰力矩係數和阻力係數隨馬赫數的變化較攻角小於等於14度時表現出不同的特性。
升阻比隨攻角的變化曲線(3)如圖給出了不同馬赫數條件下升阻比隨攻角的變化曲線。可以看出,升阻比最大值基本上在攻角22度 ~26度範圍取得。
相對厚度影響
航天空氣動力技術研究院的冉景洪等選取了NACA的四個無彎度翼型及厚度為3%的平板(前後緣用圓弧修正),來分析最大相對厚度值對動態氣動力特性的影響。
雷諾數為500時,升祖力係數和升阻比隨攻角變化的曲線圖都呈光滑的變化趨勢,有最大值攻角;且隨厚度增加,升祖力係數和升阻比都不斷減小,說明該雷諾數下翼型越薄,在等速上仰運動中就擁有越大的升阻比。
雷諾數為5, 000時,升祖力係數曲線族在大攻角時表現出不規則的變化趨勢,並無明顯的優劣之分;升阻比隨攻角變化的曲線圖整體比較光滑。相比之下,同系列的翼型之間最大相對厚度值越小等速上仰時的動態升阻比就越大。例外,厚度為3%的平板的升阻比特性還不如最大相對厚度值稍大一點的NACA0006翼型。
雷諾數為50, 000時,升祖力係數曲線族表現出明顯的不規則波動,無法揭示最大相對厚度值帶來的差異;但小攻角時不同厚度值仍會引起升阻比曲線之間的巨大差異。大體趨勢是:最大相對厚度值越小翼型等速上仰的動態升阻比就越大。
彈道設計方法
原理
升阻比是指全彈所受滑翔升力與飛行阻力的比值,是體現制導炸彈性能與彈道設計的重要氣動參數。
採用最大升阻比的制導炸彈彈道設計原理是在制導炸彈飛行過程中通過控制俯仰舵產生一個比較確定的向上升力與重力平衡,使炸彈法向方向加速度很小,在空中停留時間較長從而飛行較遠的距離,實現增程的效果。在此過程中,一定氣動布局下,制導炸彈攻角大小通過控制舵偏角來調節,舵偏角過大致使攻角過大,會引發飛行穩定性問題,此外也會增加阻力,不利於滑翔增程;舵偏角過小,攻角也較小,滑翔增程效率降低。因此,在保證飛行穩定的前提下,得到合適的俯仰舵偏角與平衡攻角間的關係並進行控制,時刻保持彈體升阻比最大,使增程彈道的滑翔效率提高。
彈道設計
根據彈體的空氣動力特性和飛行彈道特性,通過改變攻角的大小產生向上的升力,克服炸彈自身重力使彈道迅速下降的作用,在升力與重力的平衡狀態下,理想的彈道軌跡是法向加速度趨近於零,這樣彈道傾角較小,炸彈滯空時間得以延長。根據制導炸彈的飛行過程和基本原理,可通過控制俯仰舵偏角改變升力和阻力的大小,影響彈九的運動軌跡。
理想彈道在滑翔飛行期間的任一瞬時都處於平衡狀態,即舵面偏轉時,作用在制導炸彈上的力矩在每一瞬時都處於平衡狀態。
升阻比不僅與炸彈的氣動參數有關,還與其滑翔過程中的滑翔攻角和俯仰舵偏角有關。炸彈的設計變數一經確定,根據確定的氣動力計算方法就可求得各氣動參數。那么,為了求得升阻比,還需知道滑翔攻角和俯仰舵偏角的關係。
根據升阻比最大所設計的滑翔增程段俯仰舵偏角和平衡攻角的變化規律,通過數值仿真即可計算出滑翔段的最遠距離。

