名詞定義
中文名稱:晶格玻爾茲曼方法
英文名稱:lattice Boltzmann method
定義:一種用於流體流動模擬的計算流體力學方法,通過求解離散玻爾茲曼方程,採用碰撞模型(如Bhatnagar-Gross-Krook,BGK模型)來模擬牛頓型流體流動,從而代替求解N-S方程。模擬有限個粒子的流動和碰撞,這種內在的粒子間相互作用成為巨觀粘性流體流動的縮影。
原理
LBM是一種較新的複雜流體系統模擬技術,已引起計算物理學家的興趣。不同於傳統CFD方法求解微觀守恆方程(如質量、動量、能量守恆),LBM模型假設流體是由虛擬的微觀粒子構成,這些粒子在一個離散格線中進行連續傳播和碰撞。由於其獨特的性質,相對其他傳統CFD方法LBM有很多優點,特別是在處理複雜邊界層,涉及微觀相互作用以及並行計算中。晶格玻爾茲曼方程的另一種表述是離散速度玻爾茲曼方程。由偏微分方程組的數值解可得一個離散圖表,這個圖表可以解釋為虛擬粒子的傳播和碰撞。
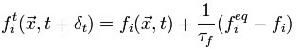
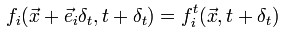
在計算機算法中,碰撞和流動步驟定義如下:
碰撞步驟:


