基本介紹
對於時間序列中的擾動性,採取某種方法予以消除,就能較為清晰地顯示長期趨勢的傾向。這種方法我們稱之為修勻法,也就是我們常說的對“噪聲”的濾波。
為了離析和測定時間序列中的趨勢變動,需要排除季節變動、循環變動和不規則變動等因素的影響。通過對時間序列的“修勻”可以達到這一目的,修勻的方法主要有時距擴大法、移動平均法和指數平滑法等。
時間序列修勻的常見方法
時距擴大法
這是最簡單的時間序列修勻方法,其要點是:通過適當擴大原時間序列中各項發展水平的時間範圍,合併計算新指標值,消除隨機波動和其他非趨勢變動,凸顯長期趨勢。例如,將月(季)度時間序列合併為年度時間序列,或將年度時間序列合併為三年、五年的時間序列,等等。
由於偶然性因素的影響具有持續時間短、方向不確定等特點,季節變動具有相對確定的周期性,因而適當地擴大時距、合併指標大體能夠將其消除。但另一方面,擴大時距後的時間序列項數將成倍減少,造成信息的損失,這在一定程度上影響到分析的效果。
套用時距擴大法還需注意:該法既可用於時期序列,也可用於時點序列和其他派生序列,但兩者合併指標的方法有所不同。一般說,時期序列可用簡單加總的方法合併指標;時點序列等就不行,因為它們不具可加性,應該採用適當的序時平均方法合併指標。當然,時期序列也可考慮序時平均。
移動平均修勻
移動平均法是時間序列修勻的基本方法,主要用於消除原序列中的不規則變動和周期性波動,以分解出原序列中的長期趨勢,有時還可用以進行簡單的預測。
移動平均是指對原序列按選定的移動步長n=2k+1,逐次計算算術平均數,並形成一個新的序列。新序列比原序列少2k個項數。但由於消除了原序列中不規則變動的影響,使得按其繪成的曲線更平滑,從而呈現出原序列的長期趨勢。
時間序列修勻 設有時間序列 定義:
時間序列修勻
時間序列修勻 式中 為移動平均數,t為移動間隔。
新序列與原序列的對應關係為:第一項對應於時刻1,2,...,n的中間時刻;第二項對應2,3,...,n+1的中間時刻,其餘類推。
當一時間序列被分解為長期趨勢和其餘因素(如季節變動和隨機因素等)兩部分時,即:
時間序列修勻
時間序列修勻
時間序列修勻
時間序列修勻 如果 呈線性狀態,U僅表現為隨機因素而且其方差較小,則 就是 的優良估計:
時間序列修勻
時間序列修勻
時間序列修勻
時間序列修勻 經過修勻的時間序列由於其精確估計值 的測度因子 縮小了它的剩餘標準差,因此移動步長n=2k+1的取值越大,估計越準確;但是反過來,由於步長過長而使修勻的曲線越短,那么 估計的偏差越大。
移動平均是修勻趨勢線的基本方法,它通過簡單的計算便能消除原序列中的周期性波動和不規則變動影響,而使原序列顯得平滑。但必須注意:採用這種方法之所以能輕而易舉地得到一條平滑的曲線,正是因為是原序列中存在著一種幾乎保持相同周期或振幅的有規則的循環變動。原因是在每一次循環中,有一半的數據在循環中點的上半部,另一半在循環中點的下半部。通過平均就能使上下兩部的數據差異相互抵銷。如果上下兩部分的數據個數不相等,當循環中點上半部的數據多於下半部時就會使整個曲線上移;反之,當循環中點下半部的數據多於上半部時,就會使整個曲線產生下移,從而造成一種假象而將分析人員引入歧途。這樣,在套用移動平均修勻時,就必須弄清楚原序列是否存在有規律的循環周期,每個周期的長度是多少?然後才能運用它取得較為有效的結果。
指數平滑修勻
對時間序列修勻的另一種較為有效的方法是指數平滑法。這種方法的特點是需要的資料少、計算簡單、時間加權按歷史資料對未來的影響程度確定,因而在經濟管理分析中套用十分廣泛。
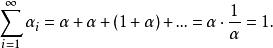
時間序列修勻 這種方法要求時間序列被判明不存在循環波動和季節變動的影響。現設原序列為無限序列,即 對它加權平均,有:
時間序列修勻
時間序列修勻 式中, 。
時間序列修勻 若設 。
時間序列修勻 則當 時有:
時間序列修勻
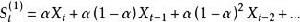
時間序列修勻 若平均值為 ,則有:
時間序列修勻
時間序列修勻
時間序列修勻
時間序列修勻
時間序列修勻
時間序列修勻
時間序列修勻
時間序列修勻
時間序列修勻
時間序列修勻
時間序列修勻
時間序列修勻 式中, 稱作平滑常數,反映了修正幅度的大小; 稱作t期的平滑修勻值,它受兩部分因素影響,一是本期觀察值,另一是上期的平滑值。如果 取值較大,接近於1,那么本期觀察值對平滑值的影響就大;反之, 取值較小,接近於0,那么本期觀察值對平滑值的影響就小,但前期觀察數據對平滑值影響就大。所以, 實際上起了“權”的作用。因此, 的職能範圍,一般來說,當時間序列呈現不規則波動,但長期趨勢接近一個穩定的常數時, 可取較小值(較接近0),這樣時間序列的各個觀察值按時間由遠到近緩慢減弱,即離平滑期越近的觀察值對平滑值的影響越小;當時間序列波動不大,長期趨勢較緩慢時, 的取值可稍大些(接近0. 5),使整個時期的觀察值對平滑值的影響均等;如果時間序列的波動較大,各個時期的長期變動趨勢較快速而且明顯時,宜選較大的值(接近於1)以充分發揮近期的觀察值的影響作用。
時間序列修勻 各種情況下, 的取值範圍據經驗列表如表1。
| α | 判斷依據 |
| 0.05—0.20 | 序列呈不規則變動,但接近較穩定的常數 |
| 0.1一0.4 | 序列波動不大,長期趨勢變動緩慢 |
| 0.6--0.9 | 序列波動較大。長期趨勢變動快速、明顯 |

