概念
1932年,Wigner在量子力學中引進了時間反演,乍一看來,這是與空間反演相似的一個分立對稱性,實際上不然。這是用詞不當。嚴格地說,所謂的時間反演對稱乃是指運動的可逆性,即把一個過程用攝像機拍下來,然後把膠捲倒過來放映,假如看上去運動規律(當然不是指“現象”)與順放時一樣,就叫做“時間反演守恆”。
基本原理
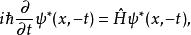
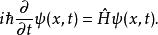
對一個無自旋粒子在位形空間寫出薛丁格方程:
時間反演算符
時間反演算符
時間反演算符
時間反演算符按上述定義,讓我們先作變換 ,看變換後對 的薛丁格方程是否能保持與原來有同樣形式?顯然不能!這時因為方程對 的微商是一階而非二階的緣故。於是在第二步,對整個方程取一次復共軛運算,才能得到預期的“時間反演不變的”薛丁格方程。
時間反演算符
時間反演算符
時間反演算符
時間反演算符其中已假設 不含時間,於是原來的 與 這兩個解之間有某種對稱性或等價性的關係。這是可能的,試看一個定態波函式,我們有:
時間反演算符於是有兩種可能性:
時間反演算符
時間反演算符
時間反演算符
時間反演算符
時間反演算符(1) 是實函式, 的兩個態是同一個態。即當 在時間反演下不變且本徵態(在能量上)非簡併時,其相應之本徵波函式必可寫成(實函式)的形式。
時間反演算符
時間反演算符
時間反演算符
時間反演算符
時間反演算符
時間反演算符
時間反演算符
時間反演算符
時間反演算符
時間反演算符(2),的兩個態不同,但有同樣的能量,所以是簡併態。例如在中心勢場中的能量本徵態,,而對應於,當時,它們是簡併的,且互為“時間反演態”。另一粒子是平面波,此時,它與在能量上簡併。

