原因
移動信道的多徑環境引起的信號多徑衰落從時域角度方面進行描述:
各路徑長度不同使得信號到達時間不同,基站傳送一個脈衝信號,則接收信號中不僅含有該信號,還包含有它的各個時延信號。這種由於多徑效應使接收信號脈衝寬度擴展的現象,稱為時延擴展。對於數位訊號傳輸多徑時延的極限是一個數位訊號周期,否則,波形展寬將會造成數位訊號的碼間干擾。
定義
時延擴展定義為最大傳輸時延和最小傳輸時延的差值,即最後一個可分辨的時延信號與第一個時延信號到達時間的差值,實際上就是脈衝展寬的時間。時延擴展是衡量多徑傳播信道質量的一個重要指標。在數字傳輸中,由於時延擴展,接收信號中一個碼元的波形會擴展到其他碼元周期中,引起碼間串擾,應使碼冗周期大於多徑引起的時延擴展。
影響
時延擴展對數位訊號傳輸是有影響的。一般而言時延擴展必然導致碼元寬度增加,這就會產生碼間串擾,使接收波形失真。為避免產生碼間串擾,必須要求最大時延擴展Tm小於一個碼元的持續時間Tb,即
時延擴展或
時延擴展式中:Rb=1/Tb,為碼元速率。
但是,當兩條多徑信號之間的相對時延超過一個擴頻碼的碼片寬度時,擴頻系統可以利用分集接收技術合併這兩個可分離的多徑信號,從而改善接收信號的質量。如在IS-95或第三代WCDMA移動通信系統中就是這樣來改善接收性能的。
統計意義
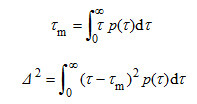
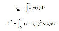
時延擴展是一個統計變數,與電波傳播環境(時間、地域和用戶情況)密切相關,是對多徑信道的時延特性的統計描述。描述多徑時延現象的參數有:最大時延擴展Tm(xdB)、平均時延τm和均方時延擴展。Tm定義為比直達(最強)信號功率下降xdB(比如取30dB)時的信號的時延;τm為各時延信號的數學期望;為各時延信號的均方值。即
時延擴展時延擴展典型值見表1所示。
表1時延擴展典型值
| 環境類型 | 時延擴展(μs) |
| 開闊區 | <0.2 |
| 郊區 | <0.5 |
| 城區 | <3 |
多徑時延擴展
由電波傳播信道中的多徑傳輸現象所引起的干涉延時效應。在實際的無線電波傳播信道中(包括所有波段),常有許多時延不同的傳輸路徑,稱為多徑現象。
各條路徑的電長度會隨時間而變化,故到達接收點的各分量場之間的相位關係也是隨時間而變化的。這些分量場的隨機干涉,形成總的接收場的衰落。各分量之間的相位關係對不同的頻率是不同的。因此,它們的干涉效果也因頻率而異,這種特性稱為頻率選擇性。在寬頻信號傳輸中,頻率選擇性可能表現明顯,形成交調。與此相應,由於不同路徑有不同時延,同一時刻發出的信號因分別沿著不同路徑而在接收點前後散開,而窄脈衝信號則前後重疊。
電離層短波傳播的多徑效應經常發生而且很嚴重。它有兩種形式的多徑現象:一種是分離的多徑,由不同跳數的射線、高角和低角射線等形成,其多徑傳播時延差較大;另一種是微分的多徑,多由電離層不均勻體所引起,其多徑傳播時延差很小。
對流層電波傳播信道中的多徑效應問題也很突出。多徑產生於湍流團和對流層層結。在視距電波傳播中,地面反射也是多徑的一種可能來源。多徑時延特性可用時延譜或多徑散布譜(即不同時延的信號分量平均功率構成的譜)來描述。與時延譜等價的是頻率相關函式。
實際上,人們只簡單利用時延譜的某個特徵量來表征。例如,用最大時延與最小時延的差,表征時延譜的尖銳度和信道容許傳輸頻寬。這個值越小,信道容許傳輸頻帶越寬。
多徑效應不僅是衰落的經常性成因,而且是限制傳輸頻寬或傳輸速率的根本因素之一。在短波通信中,為保證電路在多徑傳輸中的最大時延與最小時延差不大於某個規定值,工作頻率要求不低於電路最高可用頻率的某個百分數。這個百分數稱為多徑縮減因子,是確定電路最低可用頻率的重要依據之一。對流層傳播信道中的抗多徑措施,通常有抑制地面反射、採用窄天線波束和分集接收等。

