定義
斜坡函式斜坡函式 具有多種定義方式,以單位斜坡函式為例:
方程組:
斜坡函式最大值函式:
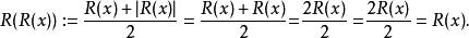
斜坡函式絕對值:
斜坡函式麥考利括弧:
斜坡函式解析性質
非負性
在定義域內函式值非負,因此絕對值等於自己,即
斜坡函式和
斜坡函式導數
導數是赫維賽德(Heaviside)階躍函式
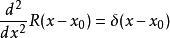
斜坡函式二階導數
單位斜坡函式的二階導數滿足
斜坡函式
斜坡函式
斜坡函式其中, 為狄拉克δ函式(又名衝激函式)。這表明對任意二階可微的函式 應滿足
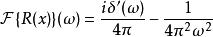
斜坡函式傅立葉變換
對單位斜坡信號來說,其傅立葉變換為
斜坡函式拉普拉斯變換
斜坡函式對單位斜坡信號來說,其拉普拉斯變換為。
代數性質
疊代不變性
斜坡函式的每個疊代函式都是其自身:
斜坡函式
斜坡函式證明:
此處套用到非零性質 。
套用
自動控制中的一種典型輸入信號 。

