定律定義
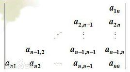
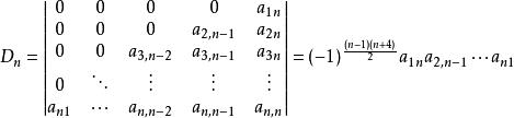
斜下三角行列式對於n階的斜下三角行列式下列公式。
特別地,斜對角行列式
斜下三角行列式推導過程
降階法
按定義將第一行反覆展開。
斜下三角行列式(n-1階)
斜下三角行列式(n-2階)
斜下三角行列式
斜下三角行列式
斜下三角行列式由於乘上(-1) =1不改變上式的符號,亦可寫作 。
數學歸納法
斜下三角行列式猜想: 成立。當n=1時,D=|a|=(-1) a=a,成立。
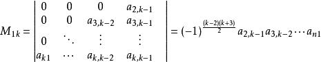
假設n=k-1(k》1)等式也成立。由假設,少一階的行列式:
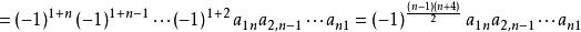
斜下三角行列式當n=k時,按行列式定義展開第一行,D=(-1)aM
斜下三角行列式從而,
有數學歸納法得,猜想成立,證畢。

