基本上來說,數字模擬轉換是與模擬數字轉換相對的。在大多數的情況下,如果模擬數字轉換器(ADC)被放置在通信電路中DAC的後面,數位訊號輸出就與輸入的數位訊號完全相同了。並且,在大多數的情況中,當DAC被放置在ADC的後面,那么輸出的模擬信號就與輸入的模擬信號完全相同了。
二進制數字脈衝完全依靠它們自己就可以顯現出一長串的1和0,這對人類觀察者來說並沒有明顯的意義。但是當DAC被用於對二進制數位訊號進行解碼,輸出的豐富含義就顯現出來了。這個輸出也許是語音、圖片、音樂小調,或者是機械動作。
DAC和ADC在一些處理數位訊號的應用程式中非常重要。模擬信號的可理解性或者保真性都可以得到改善,通過使用ADC將模擬的輸入信號轉換為數字的形式,然後數位訊號再經過“清理”,最終的數字脈衝再通過使用DAC重新轉換為模擬信號。
基本原理
數字量是由一位一位的數碼構成的,每個數位都代表一定的權。比如,二進制數1001, 最高位的權是2 =8,此位上的代碼1表示數值1*2 =8;最低位的權是2 =1,此位上的,代碼1表示數值1*2 =1;其它數位均為0,因此二進制數1001就等於十進制數9。
為了把一個數字量變為模擬量,必須把每一位的數碼按照權來轉換為對應的模擬量,再把各模擬量相加,這樣得到的總模擬量便對應於給定的數據。
D/A轉換器的主要部件是電阻開關網路,通常是由輸入的二進制數的各位控制一些開關,通過電阻網路,在運算放大器的輸入端產生與二進制數各位的權成比例的電流,這些電流經過運算放大器相加和轉換而成為與二進制數成比例的模擬電壓。
D/A轉換的原理電路如 圖5-1所示,是一個足 夠精度的參考電壓,運箅放大器輸入端的各支路對應待轉換數據的第0位、第1位、...、第n-1位。支路中的開關由對應的數位來控制,如果該數位位“1”,則對應的開關閉合;如果該數位為“0”,則對應的開關打開。各輸入支路中的電阻分別為R、2R、4R、...這些電阻稱為權電阻。它們把數字量轉換成電模擬量,即把二進制數字量轉換為與其數值成正比的電模擬量。
性能指標
解析度
解析度是指D/A轉換器能夠轉換的二進制位數。位數越多,解析度越高。對一個解析度為n位的D/A轉換器,能夠分辨的輸入信號為滿量程的1/2 。
例如:8位的D/A轉換器,若電壓滿量程為5V,則能分辨的最小電壓為5V/2 ≈20mV, 10位的D/A轉換器,若電壓滿量程為5V,則能分辨的最小電壓為5V/2 ≈5mV。
轉換時間
數字模擬轉換轉換時間是指D/A轉換器由數字量輸入到轉換輸出穩定為止所需的時間。轉換時間也叫隱定時間或者建立時間。當輸出的模擬量為電壓時,建立時間較長,主要是輸出運算放大器所需的時間。圖5-2中所示的t即為轉換時間。
轉換精度
轉換精度是指D/A轉換器的實際輸出與理論值之間的誤差。轉換精度可分為絕對精度和相對精度。
(1)絕對精度指對應於給定的數字量,D/A轉換器的輸出端實際測得的模擬輸出值(電流或電壓)與理論值之差。絕對精度由D/A轉換的增益誤差、線性誤差和噪聲等綜合因素決定。
(2)相對精度指在零點和滿量程值校準後,各種數字輸入的模擬量輸出與理論值之差,可把各種輸入的誤差畫成曲線。對線性D/A轉換而言,相對精度就是非線性度。
精度一般採用數字量的最低有效位作為衡量單位,一般取為± 1/2 LSB。例如,若是8位D/A轉換器,則轉換精度為±(1/2)*(1/256) = ± 1/512。
線性誤差
線性誤差用來描述當數字量變化時,D/A轉換輸出的電模擬量按比例關係變化的程度。 模擬量輸出偏離理想輸出的最大值稱為線性誤差。
溫度係數
溫度係數是指在規定的範圍內,溫度每變化1℃增益、線性度、零點及偏移等參數的變化量。溫度係數直接影響轉換精度。
分類
集成的D/A轉換器的類型很多,有多種分類方法:
1)按其轉換方式,可分為並行和串列兩大類;
2)按生產工藝,可分為雙極型(TTL型)和CMOS型等,它們的精度和速度各不相同;
3)按解析度,可分為8位、10位、12位、16位等;
4)按輸出方式,可分為電壓輸出型和電流輸出型兩類。
基本電路
T型電阻網路
圖9-3為T型電阻網路4位D/A轉換器的原理圖。圖中電阻解碼網路是由R和2R兩種阻值的電阻組成T型電阻網路,運算放大器構成電壓跟隨器,圖中略去了數據鎖存器,電子開關S、S、S、S在二進制數D相應位的控制下或者接參考電壓V(相應位為1)或者接地 (相應位為0)。當電子開關S、S、S、S全部接地時,從任一節點a、b、c、d向其左下看的等效電阻都等於R。
數字模擬轉換下面利用疊加原理和戴維南定理來求轉換器的輸出U。
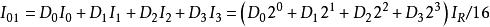
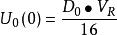
當D單獨作用時,T型電阻網路如圖9-4(a)所示。把a點左下等效成戴維寧電源,如圖9-4(b)所示;然後依次把b點、c點、d點它們的左下電路等效成戴維南電源時分別如圖9-4(c)、(d)、(e)所示。由於電壓跟隨器的輸入電阻很大,遠遠大於R,所以D單獨作用時,d點電位幾乎就是戴維南電源的開路電壓DV/16,此時轉換器的輸出為
數字模擬轉換
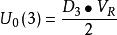
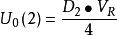
數字模擬轉換當D單獨作用時,T型電阻網路如圖9-5(a)所示,其d點左下電路的戴維寧等效如圖9-5(b)所示。同理,D單獨作用時d點左下電路的戴維寧等效電源如圖9-5(c)所示;D單獨作用時d點左下電路的戴維南等效電源如圖9-5(d)所示。故D、D、D單獨作用時轉換器的輸出分別為
數字模擬轉換
數字模擬轉換
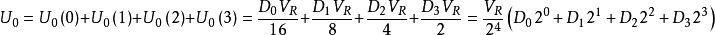
數字模擬轉換利用疊加原理可得到轉換器的總輸出為
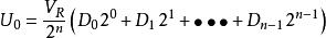
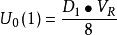
數字模擬轉換可見,輸出模擬電壓正比於數字量的輸入。推廣到n位,D/A轉換器的輸出為
數字模擬轉換
數字模擬轉換T型電阻網路由於只用了R和2R兩種阻值的電阻,因此其精度易於提高,也便於製造積體電路。但是,T型電阻網路也存在以下缺點:在工作過程中,T型網路相當於一根傳輸線,從電阻開始到運放輸入端建立起穩定的電流電壓為止需要一定的傳輸時間,當輸入數位訊號位數較多時,將會影響D/A轉換器的工作速度。另外,電阻網路作為轉換器參考電壓V的負載電阻將會隨二進制數D的不同有所波動,參考電壓的穩定性可能因此受到影響。所以實際中,常用下面的倒T型D/A轉換器。
倒T型電阻網路
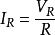
圖9-6為倒T型電阻網路D/A轉換器原理圖。由於P點接地、N點虛地,所以不論數碼D、D、D、D是0還是1,電子開關S、S、S、S都相當於接地。因此,圖中各支路電流I、I、I、I和I的大小不會因二進制數的不同而改變。並且,從任一節點a、b、C、d向左上看的等效電阻都等於R,所以流出V的總電流為
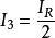
數字模擬轉換而流入各2R支路的電流依次為
數字模擬轉換
數字模擬轉換
數字模擬轉換
數字模擬轉換流入運算放大器反相端的電流為
數字模擬轉換運算放大器的輸出電壓為
數字模擬轉換若R=R,並將I=V/R代入上式,則有
數字模擬轉換可見,輸出模擬電壓正比於數字量的輸入。推廣到n位,D/A轉換器的輸出為
數字模擬轉換
數字模擬轉換倒T型電阻網路也只用了R和2R兩種阻值的電阻,但和T型電阻網路相比較,由於各支路電流始終存在且恆定不變,所以各支路電流到運放的反相輸入端不存在傳輸時間,因此具有較高的轉換速度。

