簡介
救生艇寬直接含義即為船舶型寬,型寬指的船舶最寬的地方,通常指船中,這個寬度不包括外板厚度,定義中指的是船體“型”表面的寬度。型寬最大的套用價值就是表示船舶可以經過某某河道/運河,尤其是遠洋船舶,因為國際航線中,如果船舶必須經過蘇伊士或巴拿馬運河,那船的型寬絕對不能超過運河寬度的要求。有些船型如好望角散貨船,巴拿馬散貨船都是以運河型寬的限制來命名的。
通常救生艇寬的確定與船舶型寬確定的設計大致相同。
選擇船寬應考慮的主要因素
使用條件及建造條件對船寬的限制
圖1我國的內河水系比較複雜,內河船舶或進入內河的海船,船寬往往受到航道、閘門或橋孔的限制,所以在設計前應予以了解,如閘門兩側與船兩舷的間隙至少在0.10m以上。圖1所列數值可供參考。
此外,船寬也受到船塢、船台尺度的限制。
船寬對布置的影響
對於內河客船及拖船,常把滿足布置要求的船寬作為船寬的下限值。對於中小型船舶,增加船寬有利於機艙、旅客及船員艙室的布置。
船寬對穩性的影響
圖2
救生艇寬
救生艇寬船寬對初穩性的影響是較大的。根據船舶原理的知識,為保證船舶具有足夠的初穩性,初穩性高度 必須達到一定的數值範圍。如圖2所示, 有關係式如下:
救生艇寬式中:Z——浮心離基線高度,也稱浮心豎坐標,m;
救生艇寬——浮心B到穩心M的距離,稱橫穩心半徑,m,
救生艇寬為了保證設計船有足夠的初穩性,我們可用降低重心G和升高穩心M的方法。重心垂向高度Z與船舶的重量分布有關,M的高度則與主尺度和船體水下形狀有關,若增加船寬或增大水線面係數,則可達到穩心升高的目的。但是,船寬偏大使 偏大,不利於適航性。
船寬對適航性的影響
船寬對適航性的影響主要反映在橫搖方面。船舶的橫搖周期了是指完成一次完整的橫搖所需的時間,可用下式表示;
救生艇寬
救生艇寬式中: ——船舶橫搖周期,s。
救生艇寬
救生艇寬由上式可見,當船寬增加時, 與船寬的平方成比例增加,則橫搖周期 將縮短,造成不適。
救生艇寬
救生艇寬此外,橫搖的擺幅 也與 的平方根成正比。橫搖的角速度、角加速度都將因船寬的增加和初穩性高度的增加而增大。
救生艇寬總之,過大的船寬將引起劇烈的橫搖,為此,沿海船舶的 值有個合理的上限,所以,船寬的數值也應有一定的限制。
船寬對阻力的影響
圖3船寬對阻力的影響較之船長要小。就摩擦阻力而言,B/T在實用範圍內的變化對摩擦阻力不會產生太大的影響。圖3表明某系列船模的濕表面積S隨B/T的變化情況。圖中實線表明在一定方形係數時最小濕表面積的船模所對應的B/T值;圖中虛線表示濕表面積增加2%時,B/T可在一個相當大的範圍內變動。
對剩餘阻力來說,在船長不變的情況下,船寬增加時L/B減小,B/T增大,一般情況下會加大興波阻力及漩渦阻力。同時,過大的船寬使海波變形增大,使船首波增加,風浪中的附加阻力也增加。
型寬的確定
通過以上分析可見,船寬的確定也和許多因素有關,且不同因素之間又存在錯綜複雜的矛盾。例如,穩性和橫搖之間,從提高穩性特別是初穩性角度出發,要求適當增加船寬,以提高初穩性高度並增大回復力矩;但從改善適航性角度考慮,則須適當減小船寬,以降低初穩性高度,增大橫搖周期。因此,在確定船寬時應和確定船長時一樣,必須對特定的船舶找出一個影響船寬確定的主要因素;而隨著設計船具體特點的不同,其主要矛盾也是不同的。
例如,拖船在工作過程中往往受到被拖船舶的急牽,其穩性要求較高,所以船寬通常按穩性要求結合總體布置來確定;港內渡輪船小載客多,為了減少旅客集中一舷時船舶傾斜角度,故也是按穩性要求選取較大船寬;有些小型船舶的船寬則由總體布置來確定,如機艙布置、鋪位或走道等;而沿海客貨船或工作船則要求有良好的適航性,即橫搖儘量緩和,以維持惡劣海況下的良好工作和生活條件,所以船寬應偏小以增大橫搖周期。這一類船舶在確定船寬時總有穩性與適航性的矛盾,往往穩性滿足下限要求已經較勉強時,橫搖性能卻仍嫌不好,此時,僅靠船寬的改變已很難適應該船,還必須從其它方面入手。
實踐證明:橫搖不僅與初穩性高度有關,與重心和浮心之間的垂向距離也有關,該距離越大,橫搖越嚴重。因此,遇到適航性問題突出的船舶,不僅要控制初穩性高度,還要提高浮心,降低重心,使二者的垂向距離變小,因而在設計時經常加固定壓載就是這個道理;也可採用V型橫剖線以提高浮心,這樣才可同時滿足穩性和適航性的要求。
根據統計資料確定船寬範圍
圖4通常以L/B、B/T或船寬近似公式來選取。可按下式計算:
港作拖輪
救生艇寬式中符號同前。
內河拖輪
救生艇寬小油船
救生艇寬長江及內河小艇
救生艇寬式中;k——係數,在0.65~0.76之間,可按圖4選取。
根據航道條件及布置要求確定
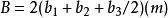
為此需經充分調查研究,參考同類船的總體布置確定,如內河拖輪考慮機艙布置的船寬:
救生艇寬式中:b1——主機最大寬度,m;
b2——舷側走道寬度,可取0.50~0.80m;
b3——主機間走道寬,可取0.80~1.20m,如圖5。
圖5雙槳船槳軸中心距一般為B/3,如條件允許適當加寬至40%B對操縱性更為有利。頂推船為改善其操縱性,其兩車葉中心距可達50%B。
救生艇寬推輪的寬度除滿足它的穩性要求之外,還要保證推架位置的準確布置,以便與相應船舶配合。推架之間距離依推輪功率大小而定,主機功率小於220kW者,其推架間距 不得小於4.0m,大於220kW可取5.0~5.5m。推架兩側還要留有一定寬度a。推輪首端甲板為(0.8~1)B,按此要求滿足推架布置的船寬應為:
救生艇寬船寬的確定也可以在分析設計船與型船異同點後,按設計船的特點加以改變而得。

