基本介紹
土收縮是指原狀土和擊實土在自然風乾條件下失水體積收縮的一種現象。失水收縮通常有三個階段:第一階段,土體收縮與含水率減少成正比;第二階段,隨著含水率的減少,士體收縮率愈來愈小;第二階段,含水率繼續減小,但土體不再收縮或收縮甚微。
第一階段和第二階段的界限含水率稱收縮含水率或收縮比例極限值,它與土的塑限相近,第二階段和第三階段的界限含水率是原狀土的理論縮限含水率。單向收縮量與試樣原高度的比值或單向收縮量與試樣原直徑的比值稱線縮率。土體收縮達穩定時的體積收縮量與試樣原體積的比值稱體縮。在第二階段內含水率每減少 1%時的線收縮率稱收縮係數。收縮試驗的目的是測定原狀土和擊實土的線縮率、收縮係數等收縮指標。
收縮試驗方法
儀器設備
圖11、收縮儀(如右圖1),多孔板上小孔的面積為整板面積的50 %以上。
2、環刀 , 直徑61.8mm,高度20mm。
3、百分表 、推土塊 、凡土林 、 天平 、 乾燥缸 、 烘箱 、 修土刀 、 鋼絲鋸等。
操作步驟
收縮試驗應按下列步驟進行:
(1)試樣製備,應按原狀土試樣製備或擾動土試樣製備的步驟進行。將試樣推出環刀(當試樣不緊密時,應採用風乾脫環法)置於多孔板上,稱試樣和多孔板的質量,準確至0.1g。裝好百分表。記下初始讀數。
(2)在室溫不得高於30℃條件下進行收縮試驗,根據試樣含水率及收縮速度,每隔1~4h測記百分表讀數,並稱整套裝置和試樣質量,準確至0.1g。2d後,每隔6~24h測記百分表讀數並稱質量,至兩次百分表讀數基本不變。稱質量時應保持百分表讀數不變。在收縮曲線的I階段內,應取得不少於4個數據。
(3)試驗結束,取出試樣,並在105~110℃下烘乾。稱乾土質量,準確至0.1g。
(4)按密度試驗中蠟封法測定烘乾試樣體積。
結果整理
1、試樣在不同時間的含水率,應按下式計算:
收縮試驗
收縮試驗式中 ———某時刻試樣的含水率(%);
m———某時刻試樣的質量(g);
m———試樣烘乾後的質量(g)。
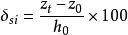
2、線縮率應按下式計算:
收縮試驗式中 δ———試樣在某時刻的線縮率(%);
z———某時刻的百分表讀數(mm)。
3、體縮率應按下式計算:
收縮試驗式中δ———體縮率(%);
V———烘乾後試樣的體積(cm )
4、土的縮限應按下列作圖法確定:
圖2
收縮試驗以線縮率為縱坐標,含水率為橫坐標,繪製關係曲線(如右圖2)。延長第Ⅰ、Ⅲ階段的直線段至相交,交點E所對應的橫坐標 ,即為原狀土的縮限。
5、收縮係數應按下式計算:
收縮試驗式中λ———豎向收縮係數;
收縮試驗———收縮曲線上第Ⅰ階段兩點的含水率之差(%);
收縮試驗Δδ———與Δ 相對應的兩點線縮率之差(%)。
試驗注意事項
1、每次稱量要連同上、下板一起稱量,稱量後,放回原位,調整百分表指針至稱量前讀數。
2、擾動土的收縮試驗,分層裝填試樣時,要切實注意不斷擠壓拍擊,以充分排氣,否則不符合體積收縮等於水分減少的基本假定,而使計算結果失真。
3、原狀土因具有結構性,故收縮表現為各向異性。粘性土的側向收縮有可能超過豎向收縮,當工程有要求時,應沿橫向與豎向分別制樣,同時測定橫、豎向的收縮。

