簡介
圖1
圖2使用擾頻器的另一個原因是,一個數據流。比如由信令和管理功能產生的數據流,可能有一個具有高離散的頻率成分的重複模式。若傳送這樣一個模式,由於它產生的線路頻譜,它可能構成一個嚴重的,對其他使用相同設備的DSl的干擾源。通過將一個偽隨機數字序列加到被傳送的數據中,然後從被接收的流中減去相同的序列,完成擾頻。這可通過使用偽隨機數發生器完成。偽隨機數發生器被統一構造,同步開始,且以相同的速率作為時鐘。當然,時鐘速率是直接從被接收的數據流本身推導出來的。圖1說明了一個數字流的擾頻和隨後的解擾頻。
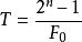
參考圖1,將一個偽隨機數序列加到被擾頻的流。使用模2加法完成這一過程。模2加法的規則是:0+0=0,0+1=1,1+0=1,1+1=0。其和構成被傳送的被擾頻的流。接收的流假設與傳送流是一致的。為說明起見,假設信道無差錯。在接收器中,一個局部產生的偽隨機流被模2加到被接收到的流。結果的解擾頻流和被擾頻的原流是一致的。注意,被接收的流(接收器的時序電路在被接收的流上起作用)與解擾頻的流沒有相似的地方。圖2說明了一個偽噪音發生器的構造方法。這樣一個發生器的周期是
擾頻器
擾頻器這裡n是移位暫存器的級數,是時鐘頻率。
更簡單的、常使用的另一方法通過取反原信息序列(就像在零碼抑制中一樣),然後使用原序列和取反序列的模2加法,推導出附加的數字序列。
通過取消周期性,擾頻器將任何離散頻譜線的幅度減小到可忽略的電平。因為擾頻過程取消了頻譜線,將數字系統信道間的干擾保持在一個低水平。
FX128擾頻器
技術特性
全雙工音頻處理。
片上濾波器。
載波抑制大於55dB。
使用中頻(10.24MHz)時鐘。
無需外部晶體。
極好的音頻質量。
小功率工作(3.0V)。
ECPA限定語音保護。
FX128D4為16引腳S0IC封裝,FX128P3為16引腳塑膠DIL封裝。
適用於無繩電話機和無線PBX。
引腳功能
圖3參考圖3。
極限參數
圖4參考圖4。
邏輯框圖
圖5參考圖5。
典型套用電路
圖6參考圖6。
電氣技術指標
圖7參考圖7。
MCl3110帶擾頻器通用無繩電話機子系統電路
MCl3110綜合了無繩電話機需要的多種功能於1個積體電路,因而大大減少了元件的數量和印製板的空間,並且可外部調整。它既可用於手機也可用於基站。
技術特性
雙變換調頻接收器
完全雙變換接收器:天線輸入到音頻輸出。
80MHz最大載波頻率。
RSSI輸出。
帶可程式閾值的載波檢測輸出。
用於數據恢復的比較器。
工作在正交線圈或陶瓷鑒頻器。
壓擴器
擴展器包括靜噪、數字音量控制、揚聲器驅動器、3.5kHz低通帶濾波器和可程式增益電路。
壓縮器包括靜噪、3.5kHz低通帶濾波器、限幅器和可程式增益電路。
雙通用可程式鎖相環
支持新的25信道美國標準(帶新的外部開關)。
用於CT一1標準的通用設計。
數字控制通過一個串列接口端。
接收側包括第一本機振盪器、相位檢測器、14bit可程式計數器和帶12bit計數器的第二本機振盪器。
發射部分包括相位檢測器和14bit計數器。
MPU時鐘輸出不需要MPU晶體。
頻率倒置擾頻器/反擾頻器
使能/阻塞通路MPU接口。
可程式載波調製頻率。
其他特性
電源電壓檢測器。
工作電壓範圍:2.7~5.5V。
52引腳QFP封裝。
引腳功能
圖8參考圖8。
極限參數
圖9參考圖9。
推薦工作條件
圖10參考圖10。
邏輯線框
圖11參考圖11。

