推理過程
摩擦減速度物體由於慣性在有摩擦的平面上運動時,受3個力作用:重力,支持力和摩擦力。其中,重力,支持力是一對平衡力,抵消作用效果,物體受的合力即受到的摩擦力。
根據牛頓第二定律 ,物體的加速度:a=F/m=f/m
又因為f=Fμ=Gμ=mgμ
所以a=f/m=mgμ/m=μg
即摩擦減速度公式:a=μg
物理意義
摩擦減速度反映了物體在平面上運動速度的減小量,由公式:a=μg可知,平面越粗糙,速度減小的越多。
路程計算的套用
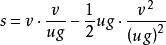
設一個物體的初速度為v,若僅受摩擦力影響,則:
摩擦減速度
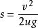
摩擦減速度由減速度公式 可知:物體運動的最大路程為:即
摩擦減速度
摩擦減速度
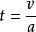
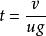
摩擦減速度又因為物體可以運動的時間:,又因為, 所以
摩擦減速度
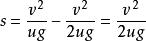
摩擦減速度所以, 即
摩擦減速度綜上所述,

