採樣
採樣(sampling)也稱取樣,指把時間域或空間域的連續量轉化成離散量的過程。也指把模擬音頻轉成數字音頻的過程。
每秒鐘的採樣樣本數叫做採樣頻率。採樣位數可以理解為採集卡處理聲音的解析度。採樣是將時間上、幅值上都連續的模擬信號,在採樣脈衝的作用,轉換成時間上離散(時間上有固定間隔)、但幅值上仍連續的離散模擬信號。所以採樣又稱為波形的離散化過程。
簡介
解釋1
所謂採樣(sampling)就是採集模擬信號的樣本。
解釋2
把模擬音頻轉成數字音頻的過程,就稱作採樣,所用到的主要設備便是模擬/數字轉換器(Analog to Digital Converter,即ADC,與之對應的是數/模轉換器,即DAC)。採樣的過程實際上是將通常的模擬音頻信號的電信號轉換成二進制碼0和1,這些0和1便構成了數字音頻檔案。採樣的頻率越大則音質越有保證。由於採樣頻率一定要高於錄製的最高頻率的兩倍才不會產生失真,而人類的聽力範圍是20Hz~20KHz,所以採樣頻率至少得是20k×2=40KHz,才能保證不產生低頻失真,這也是CD音質採用44.1KHz(稍高於40kHz是為了留有餘地)的原因。
通過周期性地以某一規定間隔截取音頻信號,從而將模擬音頻信號變換為數位訊號的過程。每次採樣時均指定一個表示在採樣瞬間的音頻信號的幅度的數字。
分類
周期採樣採樣就是通過採樣開關的作用將連續信號變成脈衝序列的過程。上圖所示為一種周期採樣的方式。所謂周期採樣,就是採樣開關按一定的時間間隔開閉。該時間間隔稱為採樣周期,通常用T表示。
除了周期採樣以外,還有一些其他的採樣方式。
1)等周期同步採樣:多個採樣開關等周期同時開閉。
2)等周期異步採樣:多個採樣開關等周期但不同時開閉。
3)多階採樣:各採樣開關以不同的周期開閉。
4)隨機採樣:開關動作隨機,沒有周期性。
採樣頻率
每秒鐘的採樣樣本數叫做採樣頻率。
採樣頻率越高,數位化後聲波就越接近於原來的波形,即聲音的保真度越高,但量化後聲音信息量的存儲量也越大。
採樣頻率與聲音頻率之間的關係:
根據採樣定理,只有當採樣頻率高於聲音信號最高頻率的兩倍時,才能把離散模擬信號表示的聲音信號唯一地還原成原來的聲音。
目前在多媒體系統中捕獲聲音的標準採樣頻率定為44.1kHz、22.05kHz和11.025kHz三種。而人耳所能接收聲音頻率範圍大約為20Hz--20KHz,但在不同的實際套用中,音頻的頻率範圍是不同的。例如根據CCITT公布的聲音編碼標準,把聲音根據使用範圍分為以下三級:
·電話語音級:300Hz-3.4kHz
·調幅廣播級:50Hz-7kHz
·高保真立體聲級:20Hz-20kHz
因而採樣頻率11.025kHz、22.05kHz、44.1kHz正好與電話語音、調幅廣播和高保真立體聲(CD音質)三級使用相對應。
DVD標準的採樣頻率是96kHz
採樣位數
採樣位數可以理解為採集卡處理聲音的解析度。這個數值越大,解析度就越高,錄製和回放的聲音就越真實。我們首先要知道:電腦中的聲音檔案是用數字0和1來表示的。所以在電腦上錄音的本質就是把模擬聲音信號轉換成數位訊號。反之,在播放時則是把數位訊號還原成模擬聲音信號輸出。採集卡的位是指採集卡在採集和播放聲音檔案時所使用數字聲音信號的二進制位數。採集卡的位客觀地反映了數字聲音信號對輸入聲音信號描述的準確程度。8位代表2的8次方--256,16位則代表2的16次方--64K。比較一下,一段相同的音樂信息,16位音效卡能把它分為64K個精度單位進行處理,而8位音效卡只能處理256個精度單位,造成了較大的信號損失,最終的採樣效果自然是無法相提並論的。
如今市面上所有的主流產品都是16位的採集卡,而並非有些無知商家所鼓吹的64位乃至128位,他們將採集卡的複音概念與採樣位數概念混淆在了一起。如今功能最為強大的採集卡系列採用的EMU10K1晶片雖然號稱可以達到32位,但是它只是建立在Direct Sound加速基礎上的一種多音頻流技術,其本質還是一塊16位的音效卡。應該說16位的採樣精度對於電腦多媒體音頻而言已經綽綽有餘了。
簡介
眾所周知,微型計算機只能接受和處理數位訊號,而工程上許多情況下被控參數是時間的連續函式,如溫度、流量、液位、電動機的轉速等。所以在計算機控制系統中,需要將連續時間信號轉換成數位訊號,才’能送入計算機進行運算和處理,這一過程是由A/D轉換器實現的;計算機對輸入的數位訊號按照預先確定的控制算法進行處理,得到控制信號,再由D/A轉換器變成連續信號,通過執行元件作用被控對象實現自動控制。因此,在計算機控制系統中,必須考慮連續信號和離散信號的相互轉換問題。
把連續信號轉換成離散信號的過程稱為採樣過程,這一過程是通過採樣開關(採樣器)實現的。
採樣過程
採樣過程採樣過程如圖所示,連續信號x(t)作用在採樣開關的輸入端,採樣開關每隔時間T瞬時閉合一次,在採樣開關的輸出端就得到了離散信號x*(t) 。 x*(t)是連續信號x(t)在採樣時刻的一系列瞬時值,可以看成是一個脈衝序列,每個脈衝的幅值依次為x(0T) , x(1T) , x(2T)...,每個脈衝出現的時刻依次為0T、1T、2T..稱為採樣周期。則x (t)可以表示為
設採樣的器每隔T秒閉合一次(接通一次)。接通時間為τ
採樣過程採樣器可用一個周期性閉合的採樣開關S表示,f(t)—輸入連續信號,f*(t)為定寬度等於τ的調幅脈衝序列,在採樣瞬時nT(n=0.1.2.3…)時出現
採樣過程
過程
t=0時採樣器閉和τ秒f*(t)=f(t)
t=τ秒時採樣器打開f*(t)=0
以後每隔T秒重複一次,丟失採樣的信息。
由於採樣器(採樣開關閉合時間τ很小)。τ<<T,分析認為τ=0採樣器的輸出f*(t)等於輸入於採樣器的連續信號在採樣時刻的數值。採樣過程可以看成是一個幅值的過程,理想採樣器好象是一個濾波為δT(t)的幅值調製器。
採樣過程
採樣過程
採樣過程f*(t)可以認為是輸入連續信號f(t)調製在找到δT(t)上的結果。理想脈衝序列
物理意義
採樣過程是單位理想脈衝序列δT(t)被輸入信號f(t) 進行幅值調節的過程
幾點說明
(1)f*(t)只描述了f(t)在採樣瞬時的數值,故F*(s)不能給出連續函式f(t)在採樣間隔之間的信息
(2)採樣拉氏變換F*(s)與連續信號f(t)的拉氏變換F(s)類似如f(t)有理函式,F*(s)也總可以表示成有理函式形式。
(3)求F*(S)過程中,初始值常規定採用f(0+)。
採樣過程的數學描述
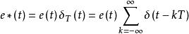
採樣過程在理想的採樣過程中,連續信號經採樣開關的周期性採樣後,得到的每個採樣脈衝的強度等於連續信號在採樣時刻的幅值。因此,理想採樣開關可以看做一個脈衝調製器,採樣過程可以看做一個單位脈衝序列被輸入信號e(t)進行幅值調製的過程,理想採樣過程如圖所示。
理想採樣過程其中,單位脈衝序列
採樣過程為載波信號,
採樣過程為調製信號。
採樣過程當時,輸出信號可表示為
採樣過程式為理想採樣過程的數學表達式。
對於實際採樣過程,將連續信號e(t)加到採樣開關的輸入端,若採樣開關每隔周期T閉合一次,每次閉合時間為τ,則在採樣開關的輸出端得到脈寬為下的調幅脈衝序列e*(t)。實際採樣過程如圖所示。
採樣過程由於採樣開關閉合時間f很小,遠遠小於採樣周期r,故e(t)在下時間內變化甚微,可以近似認為在該時間內採樣值不變。所以e*(t)可近似視為一個脈寬為τ,高度為e(kt)。
採樣定理
1.對連續信號進行等間隔採樣形成採樣信號,採樣信號的頻譜是原連續信號頻譜以採樣頻率為周期進行周期性地延拓形成。
採樣過程2.設連續信號屬於帶限信號,最高截止頻率為Ω,如果採樣頻率大於或者等於2Ω,那么採樣信號通過一個增益為T,截止頻率為Ω/2地理想低通濾波器,可以唯一回復出原連續信號,否則會造成頻率混疊現象,不可能無失真還原原信號
實際上我們在實際套用中考慮到信號的頻譜不是銳截止,最高截止頻率上還有較小的高頻分量,所以實際工程中選用,不且加入低通濾波器濾去高頻分量
