簡介
目前計算採收率的方法很多, 但總的趨向是在充分掌握油田實際資料的基礎上, 通過綜合分析來確定目前和最終採收率。一般常用的方法如下:
(1 ) 油田統計法。它是統計已被水淹區或油田開採的累計采出油量, 將其與原始地質儲量相比, 確定出採收率。
(2 ) 室內水驅油試驗法。這種方法是將天然岩心模擬到油層條件下, 在室內作水驅油試驗, 求出水驅油效率, 並根據油田非均質性及流體性質加以校正, 求出最終採收率。
(3 ) 岩心分析法。用岩心分析法確定採收率有兩種方法。一是在採油區內, 用失水量較大的水基鑽井液取心, 測定岩心中殘餘油量而求得採收率; 另一種是在油田水淹區內檢查井取心, 測定岩心中殘餘油量, 求得採收率。
(4 ) 地球物理法。在水淹區的井內, 用電阻法等測定出殘餘油飽和度, 求得採收率。
(5 ) 物質平衡法。用礦場生產資料, 根據物質平衡的原理, 求出累積采出油量, 將其與原始地質儲量相比, 確定目前採收率。
岩心分析法
用岩心分析法確定採收率, 首先要根據油田地質勘探資料和岩心分析資料確定油藏的總體積、孔隙度和流體飽和度, 並根據高壓物性資料確定原油的體積係數。有了這些資料就可以計算不同驅動方式下的油層採收率。
1、水驅方式下油層採收率的確定
採收率計算方法油藏的總體積:
油藏體積內所含流體的數量, 即儲量( 地面體積) 為:
採收率計算方法式中
A———含油層面積;
h———油層有效厚度;
S ———原油飽和度, So = 1 - Scw ;
S ———束縛水飽和度;
B———原始條件下原油的體積係數。
對水驅油田來說, 當油層已被水淹, 採油處於枯竭狀態時, 地下所殘留的油量為:
採收率計算方法式中
N———殘餘油量, 即剩餘儲量;
S———殘餘油飽和度;
B———目前原油體積係數。
在注水保持油層壓力, 油層中未產生游離氣的條件下, 水驅的可采儲量為:
採收率計算方法故採收率為:
採收率計算方法2、溶解氣驅方式下的採收率
對於溶解氣驅油田, 由於沒有外來的水進行驅替, 在開採過程中, 隨著油層壓力不斷降低, 油中的溶解氣不斷分離出來, 天然氣的飽和度相對增加, 而膨脹了的氣體就起驅替原油的作用。當油藏采竭時, 天然氣的飽和度為S , 原油的體積係數為B , 那么在溶解氣驅方式下的可采儲量為:
採收率計算方法而採收率為:
採收率計算方法式中
N———可采儲量;
S———在枯竭壓力下, 油層的含氣飽和度;
B———原始條件下地層油體積係數;
B———枯竭壓力下地層油體積係數。
經驗估計法
水驅油藏大量統計資料的分析結果表明, 影響水驅採收率的因素不僅是滲透率和粘度,而且與束縛水含量和油層厚度有關, 與孔隙度也有關係。根據70 個水驅或局部水驅油田按上述5 個參數對實際油層水驅採收率統計結果, 可得出如下的經驗公式:
採收率計算方法式中
η———採收率;
K———油層滲透率, 10 μm ;
S———束縛水飽和度;
μ———原油粘度, mPa·s;
h———油層厚度, m。
礦場資料統計法
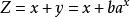
本法是以整個油層或一定區域為根據, 而不是以個別井在水驅條件下的開採的規律為依據。這一規律就是累計產水量和累計產油量之間存在著密切的關係, 即在半對數坐標紙上繪出曲線, 此曲線的末端成直線關係, 可用方程y = ba 來表示。
計算採收率的公式為:
採收率計算方法式中
N———可采儲量;
N———原始地質儲量。
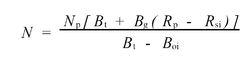
式中Np 的求法如下:
採收率計算方法設:
採收率計算方法又:
式中
Z———累計總產油量;
x ———累計產油量, x = Np ;
y———累計產水量;
q———總產液量;
a、b———經驗常數。
兩邊對時間t 取微分整理得可采儲量Np 為:
採收率計算方法式中
q———最終日產液量;
q———最終日產油量。
確定原油最終採收率的主要問題是確定經驗常數a 和b 值。
物質平衡法
我們根據物質守恆原理推導出各種驅動方式下的物質平衡方程式, 利用這些方程式就可以確定各種驅動方式下的目前採收率。
1、定容低飽和油藏的採收率
對於油層岩石來說, 如果忽略由於油層內部流體壓力改變而引起的孔隙率的變化, 那么當油藏無外來水進入時, 可以認為油藏內的孔隙體積不變, 即所謂定容油藏。如果油藏內的原油在原始狀況下是低飽和的, 則當油藏體積不變時, 原油的產出是由於液體體積膨脹作用的結果。因為含油飽和度不變, 所以由於液體膨脹將原油驅出, 其物質平衡方程式為:
採收率計算方法故採收率為:
採收率計算方法2、 溶解氣驅油田的採收率
溶解氣驅的物質平衡方程式為:
採收率計算方法所以採收率為:
採收率計算方法總結
上面介紹了幾種計算和預測油田採收率的方法, 除此以外還有一些其他的方法。雖然方法很多, 但至今仍還沒有一種最好的方法能確切地求得反映油田實際的採收率。這些方法都有其一定的局限性, 所以我們在確定和選擇採收率時, 一定要用綜合對比和分析的方法, 而不能單憑其中一種方法主觀片面地加以確定。
提高油田採收率, 是油田開發各種技術措施和管理措施綜合的結果。油層研究, 油田開發布井方案的規劃和調整, 生產管理, 以及採用新工藝、新技術等各個環節都直接影響到油田的採收率。因此決不能把提高油田採收率措施的研究, 簡單地看作是某種工作劑的選擇或某種新工藝的套用, 而應視為油田開發後繼戰略措施。
提高採收率需要兩方面的工作, 一是提高注入工作劑的垂向和橫向的波及係數; 另一個是提高工作劑的洗油效率。目前情況下, 對於多數油田來說, 提高波及係數是一個更為重要和現實的方向。
由於油層的非均質性是貫穿一切矛盾的根源, 所以要反覆深入地進行油層研究, 其中包括沉積過程中的層理結構、水流方向、沉積旋迴、滲透率的各向異性、孔隙結構及大小分布等問題, 要利用地質的、測井的和物理的方法, 並把動態和靜態結合起來進行研究。對油層研究得愈深入細緻, 從不同環節採取措施提高採收率的把握就愈大。即情況明, 方法才能對頭。
對油層剖面上的非均質, 通過分層檢測, 如果在生產井和注入井剖面上滲透率排列變化一致的話, 可根據隔層和夾層情況, 下封隔器進行控制, 採用分層法及堵塞大孔道調整剖面等措施來解決。
對於水平方向即平面上的非均質, 可通過合理安排注采井網和合理控制注采比等措施來加以解決。
對於油層內部結構和流體性質所造成的層內非均質, 即層內矛盾, 主要是防止注入工作劑在微觀孔隙中沿大孔道竄流, 使注入水或氣沿這些孔道遊動而不再驅油, 所以要考慮採用新的注入劑或改善注入水的性質。當油層流體的性質( 如油稠) 成為主要矛盾時, 還必須從改善地層稠油性質入手, 採用加熱、燃燒等方法。
注入工作劑與地層油的非均質, 和岩層的非均質是矛盾的兩個方面, 但又是互相依存的。例如稠油會加劇油層非均質的影響, 而注入稠化水則會減弱油層非均質的影響。油水的粘度差別愈大, 非均質的影響程度就越嚴重, 即降低了洗油效率, 也降低了波及係數。所以對於任何提高採收率的新工藝技術, 不應該脫離具體的油層情況去評價它是先進的還是落後的, 只有那些適應具體油田條件, 對該油田是行之有效的方法才是最好的工藝技術。隨著科學技術的發展, 今後必將出現更多的提高採收率的方法。從當前來看, 注水仍然是提高油層採收率的經濟有效的方法, 所以如何進一步提高注水油層的採收率, 是一個很重要的現實問題。

