基本特徵
微分方程
振盪環節振盪環節的微分方程為 。
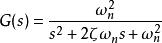
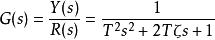
傳遞函式
振盪環節
振盪環節振盪環節的傳遞函式為,也可以寫成另外一種形式。
參數
T 為時間常數, ζ 為阻尼比,ω為自然角頻率。
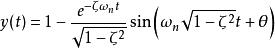
單位階躍回響
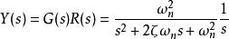
在單位階躍作用下,振盪環節輸出量拉普拉斯變換為
振盪環節再進行拉普拉斯反變換得到輸出量表達式為
振盪環節
振盪環節式中。
其他
振盪環節的輸入量發生變化時,輸出量常會呈現周期性變化,其頻率僅與環節有關,與信號的幅值和變化速度無關。振盪環節對應於二階常微分方程,它具有振盪特徵的充分必要條件是}<1,即傳遞函式的分母多項式有虛根或共扼複數根.當}<0時,振盪環節出現持續以至發散的振盪,系統為不穩定.當1>參>0時,振盪環節相應於衰減性振盪,系統可穩定工作,但一般希望對它的振盪頻率、幅值和衰減速度進行限制,以免造成不良的後果.
