方程式介紹
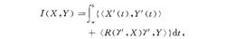
指標形式其中X,YE.}Ca,b),X'(t)=Dr-X,Y'<t)=Dr.Y.若UE.}<a,b)且U(a)=UCb)=0,則關於以U為變分向量場的變分a;}a,司X(一。,e)}M,弧長的第二變分恰好是1 "(0) =1 <U土,U_L ),其中U土表示向量場U與Y正交的分量.指標形式是莫爾斯(Morse,H. M.)引進的.若}oCa,b)={X E }<a,b) }X(a)=X (b )=0},則著名的莫爾斯指標定理敘述為:對於黎曼流形M中以弧長t為參數的測地線Y fit) Ca毛t鎮b),空間}oCa,b)的使指標形式I(·,·)在其上的限制為負定的極大子空間的維數是有限的,稱為測地線Y(t)Ca毛t鎮b)的指數,它恰好等於端點x=Y(a)在測地線Y(t) }a鎮t<b )上(不含端點Y(b))的共扼點的個數(按共扼點的重數計算)).若Y<b)不是x的共扼點,則1在.}o<a,b)中零化子空間為零;若Y(b)是二的共扼點,則1在.}o(a,b)中的零化子空間的維數恰好是Y(b)作為二的共扼點的重數,記為u<b).這樣,上述定理的前一部分可重新表述為:測地線Y<t)(a鎮t鎮b)的指數
指標形式而且等號僅當W=J時成立.上述命題稱為基本指標引理,在大範圍黎曼幾何中有許多重要的套用.
