二維拋物線坐標系
拋物線坐標系
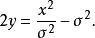
拋物線坐標系直角坐標 可以用二維拋物線坐標表示為
拋物線坐標系
拋物線坐標系
拋物線坐標系其中,。
拋物線坐標系
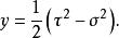
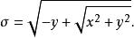
拋物線坐標系反算回來,二維拋物線坐標可以用直角坐標 表示為
拋物線坐標系
拋物線坐標系
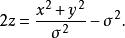
拋物線坐標系坐標為常數的曲線形成共焦的,凹性向上的(往 +y-軸)拋物線:
拋物線坐標系
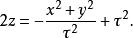
拋物線坐標系而坐標為常數的曲線形成共焦的,凹性向下的(往 -y-軸)拋物線:
拋物線坐標系這些拋物線的焦點的位置都在原點。
二維標度因子
拋物線坐標系拋物線坐標的標度因子相等:
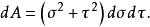
拋物線坐標系因此,面積的無窮小元素是
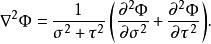
拋物線坐標系拉普拉斯運算元是
拋物線坐標系
拋物線坐標系
拋物線坐標系其它微分運算元,像都可以用 坐標表示,只要將標度因子代入在正交坐標系條目內的一般公式。
三維拋物線坐標系
拋物線坐標系
拋物線坐標系將二維的拋物線坐標系繞著拋物線的對稱軸旋轉,則可以得到三維的拋物線坐標系,又稱為 旋轉拋物線坐標系。將對稱軸與 z-軸排列成同直線;而拋物線坐標系的共焦點與直角坐標系的原點同地點。直角坐標可以用三維拋物線坐標表示為
拋物線坐標系
拋物線坐標系
拋物線坐標系
拋物線坐標系
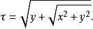
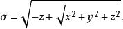
拋物線坐標系其中, ,方位角 定義為
拋物線坐標系
拋物線坐標系
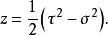
拋物線坐標系反算回來,三維拋物線坐標可以用直角坐標表示為
拋物線坐標系
拋物線坐標系
拋物線坐標系
拋物線坐標系每一個-坐標曲面都是共焦的,凹性向上的(往 +z-軸) 拋物曲面:
拋物線坐標系
拋物線坐標系而每一個>-坐標曲面都是共焦的,凹性向下的(往 -z-軸) 拋物曲面:
拋物線坐標系這些拋物曲面的焦點的位置都在原點。
三維標度因子
三維標度因子為:
拋物線坐標系
拋物線坐標系
拋物線坐標系
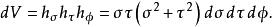
拋物線坐標系我們可以觀察出,標度因子與二維標度因子相同。因此,體積的無窮小元素是
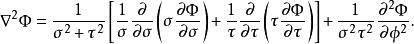
拋物線坐標系拉普拉斯運算元是
拋物線坐標系
拋物線坐標系
拋物線坐標系其它微分運算元,像,都可以用坐標表示,只要將標度因子代入在正交坐標系條目內的一般公式。
