拆分數估計定理
正整數n拆分成若干個正整數之和,其不同的拆分數用p(n)表示,{p(n)}的母函式為:
拆分數估計則拆分數估計可以表示為:
拆分數估計證明
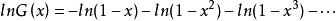
令
拆分數估計
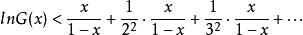
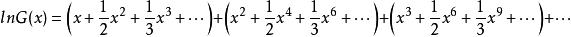
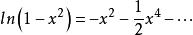
拆分數估計根據馬克羅林級數:
拆分數估計
拆分數估計
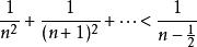
拆分數估計
拆分數估計所以:
拆分數估計
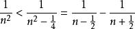
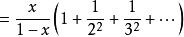
拆分數估計而
拆分數估計又由於
所以有下式成立:
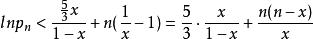
拆分數估計因此有
拆分數估計所以
拆分數估計
拆分數估計但是
拆分數估計
拆分數估計
拆分數估計
拆分數估計所以
拆分數估計
拆分數估計設 有
拆分數估計
拆分數估計
拆分數估計
拆分數估計
拆分數估計曲線y=lnx是向上凸的,所以曲線y=lnx在(1,0)的切線為y=x-1,即有 .
拆分數估計所以
拆分數估計
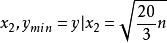
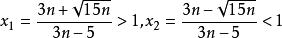
拆分數估計對於 ,令其一階導 ,方程的解為
拆分數估計
拆分數估計
拆分數估計又因為y的二階導 ,所以y的極小值為
所以
拆分數估計套用
1.一般情況下,p(n)的遞推關係比較複雜,但很多情況我們往往不需要知道確切的拆分數,我們可以用拆分數估計定理來估計拆分數的上界;p(n)的漸進公式也是很多學者研究的課題。
2. 圖論,組合論等領域中有廣泛套用。
