投入產出分析
正文
分析特定經濟系統內投入與產出間數量依存關係的原理和方法。亦稱產業部門間分析。它由美國W.里昂惕夫於1936年最早提出。理論基礎是L.瓦爾拉斯的一般均衡論。在中國,對投入產出分析從經濟理論上進行改造後,通常稱為投入產出原理,它的理論基礎包括勞動價值論、生產資料生產與消費資料生產兩大部類的理論等等。
投入產出表 投入產出分析是通過編制投入產出表來實現的。投入產出表有實物和價值兩種形式:
實物表 亦稱綜合物資平衡表,按實物單位計量,主欄為各種產品,賓欄有三部分:①“資源”。反映各種產品的來源,如年初庫存(或儲備)、當年生產、進口和其他來源。②“中間產品”。這一部分的項數、所列產品名稱、排列都和主欄相同順序,形成一個棋盤式平衡表。③“最終產品”。分別列出固定資產的更新、改造、大修,年末庫存(或儲備),集體消費,個人消費和出口。這種平衡表的另一種形式,是去掉“資源”部分,將它與“最終產品”部分的有關項目合併,如將年初庫存(或儲備)與年末庫存(或儲備)合併成為庫存(或儲備)變化差額,將進口與出口合併成為進出口差額,列入“最終產品”部分。
價值表 按純部分編制的。純部分是由生產工藝、消耗構成、產品用途基本相同的產品所構成的部門。
投入產出分析數學模型 在投入產出表的基礎上,可以建立以下投入產出模型:
產品平衡模型 A x+y=x,式中A是直接消耗係數矩陣;x為各部門總產值列向量;y為最終產品列向量。
移項求逆後得:(I-A)-1y=x,
式中I為單位矩陣。
價值構成模型 ATx+v+m =x,式中,AT為A的轉置矩陣;v為勞動報酬;m 為剩餘產品。
移項求逆後得:(I-AT)-1(v+m )=x。
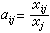
消耗係數 在投入產出原理中,消耗係數分為直接消耗係數和完全消耗係數。前者又稱為投入係數、工藝係數或技術係數,用於反映國民經濟的生產技術結構,一般用符號a ij表示,即純部門j生產單位產品對純部門i產品的消耗量,如煉一噸鋼所消耗的生鐵。計算公式是:

直接消耗係數與計畫統計工作中廣泛使用的消耗定額基本相同,但也有一些區別。其區別表現在:①消耗定額是指生產單位產品的工藝消耗量,直接消耗係數除這種消耗外,還包括車間、厂部和公司的相應消耗;②消耗定額一般只按實物計量,而直接消耗係數除按實物計量外,還採用貨幣計量;③消耗定額一般是按某種產品的具體品種、型號確定的,如鋼材的具體品種、型號,而直接消耗係數一般是按大類產品(如鋼材)確定的。
在直接消耗係數的基礎上可以計算出完全消耗係數,它是生產單位最終產品對某種總產品或中間產品的直接消耗與間接消耗之和。例如,生產一台機器除直接消耗鋼材外,還要消耗電力,而發電需要設備,生產設備又要消耗鋼材。生產機器通過電力發電設備對鋼材的消耗,叫做間接消耗。
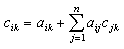
生產單位 k種最終產品對 i種產品的完全消耗係數(記作b ik)的計算公式是:

上式寫成矩陣為B=A B+I。由此得
B=(I-A)-1
完全消耗係數還有另一種計算公式:

式中c ik為生產單位k種最終產品對i種產品的完全消耗係數。上式寫成矩陣為C=A+A C。由此得:
C=(I-A)-1A
兩種完全消耗係數的關係如下:
B-C=(I-A)-1-(I-A)-1A=(I-A)-1(I-A)=I
由此可見,兩種完全消耗係數的區別是一個單位矩陣,它的主對角線上的元素為1,其他元素為0。從經濟含義上講,最終產品是脫離生產過程的產品,不應包含在生產消耗中,應以係數C作為完全消耗係數,但係數B是計算C的基礎,並可以反映最終產品與總產品之間的依存關係。
實際套用 上面所說的是靜態投入產出模型,利用它可以進行經濟分析、政策模擬、計畫論證和經濟預測,並為電子計算機在經濟管理中的套用開闢了途徑。
投入產出分析的提出已經近半個世紀,在這段時間裡,它有很大的發展。除上面所說的產品模型外,還有固定資產模型、生產能力模型、投資模型、勞動模型以及研究人口、環境保護等專門問題的模型。除上面所說的靜態模型外,還有動態模型、最佳化模型等。
