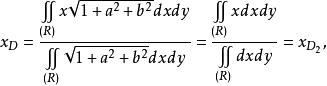
基本介紹
定義一
截柱體
截柱體
截柱體一個多面體的界面是一個柱面和兩個平面,而這兩個平面不互相平行,則這個多面體叫做 截稜柱。如圖1, 但面 與面 不平行,這個多面體就是一個截稜柱(圖1)或 截柱體 。
圖1
圖2定義二
兩個互不平行的平面與一個準線是封閉曲線的柱面相交,所圍成的形體,我們稱它為斜截柱體,它的表面的柱面部分稱為側面,兩個平面部分稱為端面。
斜截柱體的體積和側面積計算
斜截柱體的體積和側面積計算一般用重積分和曲線積分計算,有的也可用初等方法計算,但這些方法往往比較複雜。本文介紹一種比較簡便的計算方法 。
定理1
斜截柱體的體積等於它的直截面(與側面母線垂直且不與端面相交的截面) 面積與兩個端面的重心之間的距離的乘積 。
截柱體
截柱體證明:如圖2,斜截柱體的側面母線與 軸平行,P和Q為它的兩個端面,R為xoy 平面上的直截面, 分別是P、R、Q 的重心。
截柱體
截柱體
截柱體考慮xoy 平面以上的部分: 設上端面P所在平面的方程為 和 的坐標分別為 那么
截柱體同理,
截柱體
截柱體因此,DD平行於 軸,也平行於側面母線。
又因為
截柱體所以,xoy平面以上部分的體積
截柱體其中,S表示直截面R的面積。
截柱體
截柱體
截柱體同理可證:xoy平面以下部分的體積且平行軸。
所以,該斜截柱體的體積
截柱體定理1得證。
推理1
斜截三梭柱的體積等於它的直截面面積與三條側棱的平均長度的乘積。
推理2
斜截正稜柱的體積等於它的直截面面積與所有側棱的平均長度的秉積。
推理1可從定理1得到,也可用初等方法證明。推理2可從定理1和推理1得到,也可以只套用推理1來證明。
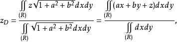
定理2
斜截柱體的側面積,等於它的直截面的周界曲線的長度乘以通過該周界曲線的重心且與側面母線平行的直線被夾在兩個端面之間的線段長度的積。
套用舉例
例1凡斜截四稜柱、斜截五稜柱等都可分割成斜截三稜柱計算壩,可分割成兩個斜截三稜柱,即使當基礎面傾斜(指與堤壩垂直的方向)時也適用。
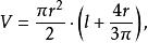
例2 圖3所示的半圓直角彎管是由兩個斜截柱體構成的,我們來計算其中一段的容積(不考慮管壁厚度)和側面積。
圖3
截柱體
截柱體
截柱體
截柱體設該段管子的內側長為 直截面的半徑為 下端面與側面垂直,上端面與直截面相交成45度角。我們知道半圓面和半圓弧的重心到直徑的距離分別為 和 那么根據定理1和定理2,該段管子的容積和側面積分別為
截柱體和
截柱體(定理2對準線不是封閉曲線的斜截柱面也適用,因此分兩部分計算)。
由於不少的平面圖形和平面曲線的重心是已知的,因此採用這一方法來計算斜截柱體的體積和側面積往往是比較方便的。

