套用
成對比較檢驗是統計學分析中常用的比較分析方法,在食品感官檢驗中套用廣泛。
統計學分析
在統計學分析中,對兩個相關樣本的比較分析,可以採用成對比較檢驗。成對比較檢驗具體有符號檢驗和威爾科克森帶符號的等級檢驗兩種方法。
符號檢驗
符號檢驗也稱正負號檢驗,是比較簡單的一種非參數統計方法,其基本思想是分析正負號出現的頻率而忽略具體量的差異,以確定它們是否有顯著差異的一種檢驗方法這種方法的特點在於:(1)對於總體分布和方差等都不作限制性假設;(2)只考慮差數的正負方向而不計具體數值;(3)忽略數值差別,因而會失去在某些情況下可資利用的信息。檢驗步驟:
1、確定配對樣本.分別計‘算差異正與負的數目,無差異則記為0,將它從樣本中剔除,並相應地減少樣本容量n,把正負號數目之和視為樣本總個數。
2、建立假設:
H : P=0.5; H : P≠0.5
3、觀察樣本容量,如果n≤25,則作為二項分布處理;如果n>25,則作為正態近似處理。一般n≤30作為小樣本處理;n>30,才用正態近似處理。但 P=0.5的二項分布呈對稱型,所以,只要,n>25,即可按常態分配近似處理。
4、設定顯著性水平α,並查表確定臨界值,進行比較和作出判斷。
等級檢驗
成對比較檢驗威爾科克森帶符號等級檢驗的套用條件和檢驗內容與符號檢驗相同。其方法思想是若關聯樣本的兩組數據沒有顯著差異,則不僅其差異的正、負符號應大致相等,而且將差異取絕對值,按大小順序排列編成自然序號(即秩)後,它們的正號(+)的秩和(記為T+)與負號(—)的秩和(記為T-)也應該大致相等。其中較小者(或較大者)也應趨近於總秩和的平均數( )。若正秩和(T+)與負秩和(T-)相差太大.其中較小者(或較大者)偏離總秩和的平均()較遠,以致超過給定顯著性水平α所確定的臨界點,就可以認為這兩組數據存在顯著差異,即總體的分布不相同。檢驗步驟為:
1、計算帶有正負號的差數。
2、將差數取絕對值按從小到大順序排列並編上等級,即確定順序號l、2、3等。
對於相等的值,則取其位序的平均數為等級。
成對比較檢驗
成對比較檢驗
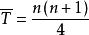
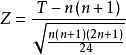
成對比較檢驗3、給每個等級恢復差數原來的正負號,分別將正負號的等級相加,用T+和T-表示。當,n≤25時,取T+、T-中較小的T值(因為威爾科克森帶符號等級檢驗T值的臨界值表只給出了較小的臨界值);當n>25時,丁近似服從常態分配,其均值和標準差分別為 和 所以可取: 為檢驗統計量。
4、確定帶正號或負號差數值的總個數。
5、設定顯著性水平α。
6、當n≤25時,從威爾科克森帶符號等級檢驗T值的臨界值表查出T臨界值,當觀察值T≤臨界值T時,就拒絕H;當T>T時,接受H。當n>25時.按照標準正太分布Z檢驗規則進行檢驗。
食品感官分析
定義
以隨機順序同時出示兩個樣品給評定員,要求評定員對這兩個樣品進行比較,判斷兩個樣品間是否存在某種差異(差異識別)及其差異方向(如某些特徵強度的順序)的一種評定方法稱為成對比較檢驗法(paried comparison test)或者兩點檢驗法。此檢驗方法是最為簡單的一種感官評定方法,它可用於確定兩種樣品之間是否存在某種差異,差異方向如何;或者用於偏愛兩種樣品中的哪一種。本方法比較簡便,但效果較差(猜對率為1/2)。
分類及特點
成對比較實驗有兩種形式,一種叫差別成對比較法(雙邊檢驗),也叫簡單差別實驗和異同實驗,另一種叫定向成對比較法(單邊檢驗)。在檢驗過程中,要根據研究的目的決定採取哪種形式的檢驗,如果已知兩種產品在某一特定感官屬性上存在差別,那么就應該採用定向成對比較實驗;如果不確定樣品間哪種感官屬性存在差異,那么就應採用差別成對比較實驗。
差別成對比較法是指評定員每次得到兩個(1對)樣品,被要求回答樣品是相同還是不同。在呈送給評定員的樣品中,相同和不相同的樣品數是一樣的。通過比較觀察的頻率和期望的頻率,根據χ分布檢驗分析結果。這種成對比較檢驗法稱為差別成對比較法。其特點為:
(1)差別成對比較試驗中,樣品有4種可能的呈送順序(AA、BB、AB、BA)。這些順序應在評價員中交叉進行隨機處理,每種順序出現的次數相同。
(2)評價員的任務是比較兩個樣品,並判斷它們是相同還是相似。這種工作比較容易進行。評價員只需熟悉評價的感官特性,可以理解評分單中所描述的任務,但他們不需要接受評價特定感官屬性的訓練。一般要求20~50名品評人員來進行試驗,最多可以用200人,或者100人。試驗人員要么都接受過培訓,要么都沒接受過培訓,但在同一個試驗中,參評人員不能既有受過培訓的也有沒受過培訓的。
(3)該檢驗是雙邊的。差別成對比較檢驗的對立假設規定:樣品之間可覺察出不同,而且品評員可正確指出樣品間是相同或不相同的機率大於50%。此檢驗只表明評價員可辨別兩種樣品,並不表明某種感官屬性方向性的差別。
(4)當試驗的目的是要確定產品之間是否存在感官上的差異,而產品由於供應不足而不能同時呈送2個或多個樣品時,選取此試驗較好。
定向成對比較法是指評定員每次得到兩個(1對)樣品,組織者要求回答這些樣品在某一特性方面是否存在差異,比如在甜度、酸度、紅色度、易碎度等。兩個櫸品同時呈送給評定員,要求評定員識別出在這一指定的感官屬性上程度較高的樣品。其特點為:
(1)試驗中,樣品有兩種可能的呈送順序(AB、BA),且呈送順序應該具有隨機性,評
價員先收到樣品A或樣品B的機率應相等。
(2)評價員必須清楚地理解感官專業人員所指定的特定屬性的含義。評價員不僅應在識別指定的感官屬性方面受過專門訓練,而且在如何執行評分單所描述的任務方面也應受過訓練。
(3)該檢驗是單向的。定向成對比較檢驗的對立假設是:如果感官評價員能夠根據指定的感官屬性區別樣品,那么在指定方面程度較高的樣品,由於高於另一樣品,因此被選擇的機率較高。該檢驗結果可給出樣品間指定屬性存在差別的方向。
(4)感官專業人員必須保證兩個樣品只在單一的所指定的感官方面有所不同,否則此檢驗法則不適用。比如,增加蛋糕中的糖加量,會使蛋糕變得比較甜,但同時會改變蛋糕的色澤和質地。在這種情況下,定向成對比較法並不是一種很好的區別檢驗方法。
組織設計
在進行差別實驗之前,要設計出問答表。問答表的設計應和產品特性及實驗目的相結合。呈送給受試者兩個帶有編號的樣品,要使組合形式AB和BA數目相等,並隨機呈送,要求受試者從左到右嘗試樣品,然後填寫問卷。
結果分析
統計學分析中,在得出某一結論之前,應先選定某一顯著性水平,在感官評定中,通常選定5%的顯著性水平。原假設:兩種樣品沒有顯著性差別,因而無法根據樣品的特性強度或偏愛程度區別這兩種樣品。換句話說,每個參加檢驗的評定員作出樣品A比樣品B的特性強度大或樣品B比樣品A的特性強度大(或被偏愛)判斷的機率是相等的,即P=P=1/2。備擇假設:這兩種樣品有顯著性差別,因而可以區別這兩種樣品。換句話說,每個參加檢驗的品評員作出樣品A比樣品B特性強度大或樣品B比樣品A特性強度大(或被偏愛)的判斷機率是不等的,即P≠P(P>P或P<P)。
分析結果前,根據A、B兩個樣品的特性強度的差異大小,確定檢驗是差別成對比較還是定向成對比較。如果樣品A的特性強度(或被偏愛)明顯優於B,換句話說,參加檢驗的評定員,作出樣品A比樣品B的特性強度大(或被偏愛)的判斷機率大於作出樣品B比樣品A的特性強度大(或被偏愛)的判斷機率,即P>1/2,則該檢驗是定向成對比較(單邊檢驗);如果這兩種樣品有顯著差別,但沒有理由認為A或B的特性強度大於對方或被偏愛,則該檢驗是差別成對比較(雙邊檢驗)。對於單邊檢驗,統計有效回答表的正解數,如果此正解數大於或等於相應的某顯著性水平的數字,則說明在此顯著水平上,樣品間有顯著性差異,或認為樣品A的特性強度大於樣品B的特性強度(或樣品A更受偏愛)。對於雙邊檢驗,統計有效回答表的正解數,如果此正解數大於或等於相應的某顯著性水平的數字,則說明在此顯著水平上,樣品間有顯著性差異,或認為樣品A的特性強度大於樣品B的特性強度(或樣品A更受偏愛)。當答案數目n>100時,答案最少數按公式:
成對比較檢驗計算,取最接近的整數值。

