基本介紹
.將一個給定的解析式變換成另一個與它恆等的解析式,稱為解析式的恆等變形。恆等變形的具體意義有以下兩種:
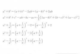
1.若以x,x,…,x為變數字母的解析式f(x,x,…,x)與g(x,x,…,x)有相同的定義域D,且在D上等值,則f(x,x,…,x)與g(x,x,…,x)在D上的相互替換,稱為恆等變形。例如在實數集R上,解析式(x+y) 與x²+2xy+y²可以互相替換.
恆等變形
恆等變形2.若以x,x,…,x為變數字母的解析式f(x,x,…,x)與g(x,x,…,x)的定義域分別為D與D,且D≠D,但在D∩D=D≠∅上兩解析式等值,則在D上f(x,x,…,x)與g(x,x,…,x)的相互替換亦稱為恆等變形。例如e 與的定義域分別是D=R ,D=R,則在D∩D=R 上,解析式e 與的相互替換就是這種意義下的恆等變形。
恆等變形的更一般的意義是:若在所討論範圍內用表示同一關係的等號=聯繫著兩個式子,形成該討論範圍的一個恆等式,則稱這個恆等式兩端式子的相互替換為恆等變形 。
例題解析
恆等變形
恆等變形
恆等變形
恆等變形
恆等變形
恆等變形
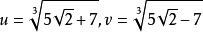
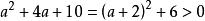
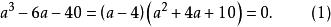
恆等變形【例1】證明:。證明:設則寫出的表達式 可見a是下列三次方程的根
恆等變形
恆等變形
恆等變形
恆等變形由於是實數,所以它們的和a也是實數,因為,由式(1)得a-4=0,即左端=。
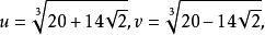
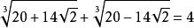
恆等變形【例2】證明:。
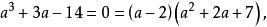
恆等變形證明:設,則
恆等變形
恆等變形
恆等變形
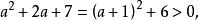
恆等變形所以
恆等變形但是
恆等變形
恆等變形所以左端。
從例1和例2可以看到:兩個無理數的和或差可能是一個有理數或整數具體的例子 。

