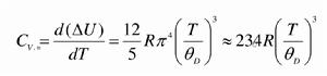
德拜定律當溫度極低時,即:T<<θ D, Cv,m=[d(ΔU)]/d(T)=(12/5)R(π4)(T/θ D)3≈234R(T/θ D)3
對於一定的材料θ D為常數,故Cv,m與T的三次方成正比,這就是著名的德拜三次方定律。它反映了在溫度低時,固體溫度升高時所吸收的熱量主要用於加劇點陣離子的運動,即使得具有高頻振動的振子數急劇增多。

德拜將愛因斯坦的晶體振動熱容理論加以補充和修正,德拜提出,晶體點陣中原子在相互間力的作用下振動,它們的頻率不等,而且是連續變化的,其變化的範圍可以是0至最高的頻率。
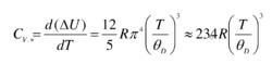
德拜定律當溫度極低時,即:T<<θ D, Cv,m=[d(ΔU)]/d(T)=(12/5)R(π4)(T/θ D)3≈234R(T/θ D)3
對於一定的材料θ D為常數,故Cv,m與T的三次方成正比,這就是著名的德拜三次方定律。它反映了在溫度低時,固體溫度升高時所吸收的熱量主要用於加劇點陣離子的運動,即使得具有高頻振動的振子數急劇增多。
德拜早期從事固體物理的研究工作。1912年他改進了愛因斯坦的固體比熱容公式,得出在常溫時服從杜隆-珀替定律,在溫度T→0時和T³成正比的正確比熱容公式。...
簡歷 人物生平 德拜溫度德拜,P.美籍物理化學家。1884年3月24日生於荷蘭馬斯特里赫特,1905年畢業於德國亞琛工業大學,獲電機工程師學位。1916年和他的研究生P.謝樂創...
德拜,P. 正文 配圖 相關連線美籍荷蘭物理學家、化學家。1884年3月24日生於荷蘭馬斯特里赫特,1900年進德國亞琛工業大學學習,1905年獲得電機工程師稱號。1906年A.索末菲...
德拜,P.J.W. 正文 配圖 相關連線美國物理化學家。1884年3月24日出生於荷蘭。1901年進入德國亞琛工業大學學習電氣工程,1905 年獲電子工程師學位,因他通過偶極矩研究及x 射線衍...
人物簡介 雙重稱號 主要研究 簡歷 主要貢獻又稱“德米定律”; 是德甲巨人拜仁慕尼黑的阿根廷中後衛德米凱利斯在2009-2010歐洲冠軍聯賽創造的奇蹟。在進行中的世界盃賽事,德米凱利斯所在的阿根廷...
定律介紹 定律作用德拜模型德拜〖ht〗提出的計算固體熱容的原子振動模型。1912年,德拜改進了〖htk〗愛因斯坦模型〖ht〗,考慮熱容應是原子的各種頻率振動貢獻的總和,得...
簡介 彈性波處理 限用情況 德拜的推導當溫度遠高於德拜溫度時,固體的熱容遵循經典規律,即符合杜隆一珀替(Dulong-Petit)定律,是一個與構成固體的物質無關的常量,即Cv=3R(Cv為...
彼·德拜(PeterDebye),荷蘭物理化學家。1884年3月24日生於荷蘭Maastricht。1910年在慕尼黑大學獲得物理學博士學位。此後,曾在...
凱恩斯於20世紀30年代提出的需求能創造出自己的供給,因此政府採取措施刺激需求以穩定經濟的論點。這是凱恩斯根據對總供給和總需求之間關係的分析,為推行其國...
簡介 個人簡介 心理定律 表達形式 勞動市場論