研究
表1微機電系統和納米技術的研究在過去20年取得了巨大的進展, 研究者們開發了各種類型的微米和納米尺度的器件。然而, 能量供給裝置很難微小型化到相應尺度傳統的電池或能量供給裝置仍然用於微米和納米器件, 這導致了整個系統體積增大、頻繁充電或電池單元組布置的困難因此, 研究者們自20世紀90年代起開始將目光轉向開發各種微型電池的技術上。其中, 基於渦輪燃燒的微型能量產生裝置和微型嫩料電池的目標是將機械能、熱能和化學能轉化成電能。這些技術都需要外部的微流體結構和外部能源驅動發動機並供給燃料到工作腔中, 或者促成化學反應實現能轉換。微型鏗電池也在研究當中, 但是這類電池目前能量密度低, 壽命短目前研究熱點之一的還有微型太陽能電池陣列, 其缺點在於需要光作為原始能源。放射能可以在工業、農業和醫療服務等許多不同的領域可以得到套用, 能量產生是其最重要的套用領域這是因為核能在許多場合都是比常規能量產生形式更高效的能量產生方法。
1999年美國威斯康星大學麥迪遜分校的研究者在美國能源部的資助下在國際上首先提出了結合微機電系統技術和核能科學與技術, 開展微型核電池或稱放射性同位素電池的研究, 隨後在美國國防部的資助下, 繼續在美國康乃爾大學開展工作。最近, 包括廈門大學薩本棟微機電研究中心在內的國內外許多研究小組也開始致力於這項研究當中。與其他技術相比, 微型核電池在許多領域具有套用前景, 特別是在需要長期時間功能的套用場合, 如植入式生物醫療微器件與用於環境監測的微型感測器或感測器網路放射性同位素的能量密度比化石或化學燃料的能量密度高了一了, 並且若選擇合適的放射性同位素, 可以實現長壽命的微型核電池。本文中, 我們將評述以往開發的套用於微機電系統和納米器件的微型核同位素電池並給出最新進展。
用於徽型電池的放射性同位
圖1放射性同位素的選擇是實現微型核電池的最重要的方面, 主要是基於輻射類型, 安全性、能量、相對比放射性、價格和半衰期。使用放射性同位素最重要的考慮因素始終是安全性。Gamma射線具有很強的穿透能力, 需要相當大的外部禁止裝置以減小放射劑量比。Alpha粒子可以用於在半導體產生電子一空穴對, 但是它們會引起嚴重的晶格缺陷。純的Beta射線發生器是微型核電池的最佳選擇。表1給出了我們研究中考慮用於微型核電池的純Beta放射源。鎳-63具有超過100年的放射期, 在我們的研究中作為首選。從鎳-63發射出的粒子或電子, 具有淤的平均能量和的最高能量, 這低於引起矽晶體結構永久性損傷
的200~250KeV閩值能量。另一方面, 最高運動能量67KeV的電子無法穿透人類皮膚的外層, 這保證了操作者的安全。
Beta型徽型電池
所開發的第一種類型的微型核電池是基於Beta輻生伏打效應, 即由於電子空穴對(EHPs)產生的正電荷流動, 從而形成電勢差。如圖1所示, 當EHPs擴散進入半導體pn結的耗盡區, 在pn結內建電場的作用下,實現對電子-空穴對的分離, 即電子向n區, 空穴向p區運動, 產生電流輸出。
雖然輻生伏打效應與光生伏打效應類似, 微型核電池的開發比太陽能電池的開發要困難得多。主要原因在於核電池中的電子通量密度比太陽能電地中的光子通量密度要低。對於微電池而言, 由於便用了非常低放射強度的同位素, 電子通密度還會降低。從Beta放射性同位素放射出來的電子的能分布通常真有很寬的頻譜範圍。帶有不同能的電子會停留在半導體pn結器件不同深度的位里。因此, 產生的EHPs的空間分布是不同的。為了獲得更高的能量輸出, 需要對pn結器件進行最佳化設計, 並採取微製造工藝達到儘可能將EHPs收集到耗盡層的目的。
自主往復式是份粱
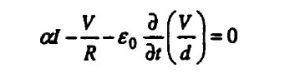
圖4傳統核電池的一種工作方式是利用電容器收集輻射電荷。在我們的研究中, 彈性變形的銅懸臂樑放於距離鎳石放射源一段間隔的位置, 當懸仲梁收集了來自放射源的帶電荷粒子後, 鎳-63剩餘負電荷因此, 產生了靜電力, 將懸臂樑吸引向放射源當懸胃梁接觸到放射源, 懸臂樑放電從而回到初始位里, 再次進行下一循環周期的電荷收集。因此, 實現了自主往復式懸有梁, 或稱直接收集型電荷運動轉換裝置。圖4給出了自主往復式懸臂樑的等效電路使用一個電流源模擬放射性同位素源, 懸臂樑與放射源之間的間隙表示成時變電容器。寄生電阻用於表示收集電荷的泄漏通道。電荷轉換導致
電荷轉換式中I為來自放射性同位素的全放射電流, A為電容器的面積, R為等效阻抗, V為放射源與懸臂樑之間的電 壓, t為時間, d為電極間的距離, D為表示被懸臂樑收集的部分全放射電流的經驗係數。
套用鉅-147放射性同位的型徽型電池
圖5事實上, 大多數微機電和納米器件, 與低耗能電子器件, 所消耗的能量在毫瓦範圍內。為了增加微型核電池的能物出, 如果允許, 應該選擇高能量放射器具有更高的放射強度雖然樞放射性同位素的半衰期只有2.6年, 但其平均能為62KeV, 最高能量為250KeV, 這在矽基pn結器件中是允許的。如圖5所示,設計並製作了套用-鉅147放射性同位素作為原始能源的Beta型微型電池。作為電池的平面pn結器件的10mm*100mm面積為, 並且使用了約200mCi的鉅-147。測得的開環電壓0.29V, 短路電流為0.033mA。最大輸出能量為5.7uW。下一步的工作是套用堆盛或晶片陣列連線的方法提高微型電池的輸出電壓。
兩種套用於微機電系統和納米器件的微型核電池, 並給出了利用樞-147放射性同位素實現輸出能達到毫瓦級的Beta型微型核電池。
由來
生活中,你肯定在為你的手機電量是否充足、是否要馬上充電等問題而操心勞神,所以,如果給你一塊幾個月都不需要充電的電池,你馬上會高興起來,如果給你一塊你一輩子都不用充電的電池,你會不會驚訝萬分?如果給你一塊幾百代人都不用充電的電池,你會不會覺得這是神話?告訴你,美國科學家眼下就創造出了這個神話。
微型核電池那么神話是怎么創造出來的呢?原來,早些時候,科學家就發現,當放射性物質衰變時,就能夠釋放出帶電粒子,如果採取一定特殊的辦法,就能夠把帶電粒子馴服歸攏起來,形成電流。後來科學家依照這個發現和放電原理,發明了大型的核電池,用於工業和航天業。如在航天領域,可把核電池安裝在太陽能不夠用的探測衛星上,或安裝在發射到太陽系外的無人飛船上。遺憾的是,因核電池必須裝有一個收集帶電粒子的固體半導體,但由於輻射的作用,固體半導體很快就會受損,而為了降低受損程度,核電池就必須做得足夠大。正因為核電池變小很難,所以它就很難在小型或微型電子設備上派上用場,自然也就很難把它做成手機電池了。
直到最近,情況有了轉機,美國科學家想出了為核電池“瘦身”的妙計,他們把核電池內易受損的固體半導體換成了不易受損的液體半導體,這樣不但能完成收集帶電粒子的使命,而且還可以大幅度“瘦身”,真可謂是一舉兩得。按照新思路研發出的圓形核電池直徑有1.95厘米,厚才1.55毫米,僅僅比1美分硬幣大一點點,但其電力卻是普通化學電池的100萬倍。
問世
微型核電池:能讓手機用五千年的電池 英國BBC電台2009年10月9日報導稱,由美國密蘇里大學計算機工程系教授權載完(音)率領的研究組研發出了體積小但電力強的“核電池(nuclear battery)”。該研究成果被刊登在最新一期的《套用物理雜誌》等科學雜誌。
據悉,他們通過利用微型和納米級系統開發出了一種超微型電源設備,這種設備通過放射性物質的衰變,釋放出帶電粒子,從而獲得持續電流。
該研究小組稱,雖然在很久之前核電池就已經套用在航天領域,但是在因為大小的限制,在地球上核電池的套用還很少。大多數核電池通過固態半導體截獲帶電粒子,因為粒子的能量非常高所以半導體隨著時間的推移將受到損傷,為了能讓電池長期使用,核電池被製造的非常大。
早在2005年已經有研究人員開始了對核動力電池的研究,至今核電池已經運用在很多專業領域,但在Jae Kwon和J.David Robertson之前,由於對核能的忌憚,核電池一直被認為不適合民間使用。此次微型核電池的成功研製,無疑推動了核動力的普及,說不定不久的將來就會出現核動力筆記本、核動力台式機。
特點
微型核電池韓國《朝鮮日報》報導稱,過去在電池的研發過程中面臨的重大難關之一,就是為了提高性能,電池大小往往比產品本身還大。但權載完教授組研發出的核電池只是略大於1美分硬幣(直徑1.95厘米,厚1.55毫米),卻可以發出普通化學電池需充電100萬次才能發出的電力。
權載完教授還實現了用於電池的晶片的改革。使用核電池時發出的放射能可能會損壞電池內部的固體晶片結構,但權載完利用液體晶片,最大限度地克服了這一問題。權載完向BBC電台表示:“核能可用於心臟搏動調節裝置或人造衛星等,已經可以安全地用於人們的生活。”
只需要一個硬幣大小的電池,就可以讓你的手機不充電使用5000年。
美國密蘇里大學研發團隊開發出的微型“核電池”使用某種液態半導體,在帶電粒子通過時並不會對半導體造成損傷,所以他們得以進一步小型化電池。負責該項目的Jae博士稱,雖然人們總是聞“核”色變,但實際上核動力能源早就被套用在例如心臟起搏器、太空衛星和海底設備等多種安全供電項目上。
套用
科學家認為,在遙遠的未來,微型核電池將被廣泛使用到小型和微型電子系統,比如說用於分析血樣的微型電子儀里。因核電池提供電能的時間非常長,到那時,只需要一個硬幣大小的電池,就可以讓我們的手機5000年不用充電。另外,像正在流行的電動車的電池,也有望實現讓人至少一輩子不用充電的夢想。至於核電池是否會出現核污染問題,科學家指出,這個問題早在發明它的時候就同時解決了,人們不必為此擔憂。
核電池
“核電池”也被叫做“放射性同位素溫差發電器”或“原子能電池”。這種溫差發電器是由一些性能優異的半導體材料,如碲化鉍、碲化鉛、鍺矽合金和硒族化合物等,把許多材料串聯起來組成。另外還得有一個合適的熱源和換能器,在熱源和換能器之間形成溫差才可發電。
核電池的熱源是放射性同位素。它們在蛻變過程中會不斷以具有熱能的射線的形式,向外放出比一般物質大得多的能量。這種很大的能量有兩個令人喜愛的特點。一是蛻變時放出的能量大小、速度,不受外界環境中的溫度、化學反應、壓力、電磁場的影響,因此,核電池以抗干擾性強和工作準確可靠而著稱。另一個特點是蛻變時間很長,這決定了核電池可長期使用。核電池採用的放射性同位素來主要有鍶-90(Sr-90,半衰期為28年)、鈽-238(Pu-238,半衰期89.6年)、釙-210(Po-210半衰期為138.4天)等長半衰期的同位素。將它製成圓柱形電池。燃料放在電池中心,周圍用熱電元件包覆,放射性同位素髮射高能量的α射線,在熱電元件中將熱量轉化成電流。
核電池的核心是換能器。目前常用的換能器叫靜態熱電換能器,它利用熱電偶的原理在不同的金屬中產生電位差,從而發電。它的優點是可以做得很小,只是效率頗低,目前熱利用率只有10%~20%,大部分熱能被浪費掉。
在外形上,核電池雖有多種形狀,但最外部分都由合金製成,起保護電池和散熱的作用;次外層是輻射禁止層,防止輻射線泄漏出來;第三層就是換能器了,在這裡熱能被轉換成電能;最後是電池的心臟部分,放射性同位素原子在這裡不斷地發生蛻變並放出熱量。
第一個核電池是在1959年1月16日由美國人製成的,它重1800克,在280天內可發出11.6度電。在此之後,核電池的發展頗快。1961年美國發射的第一顆人造衛星“探險者1號”,上面的無線電發報機就是由核電池供電的。1976年,美國的“海盜1號”、“海盜2號”兩艘宇宙飛船先後在火星上著陸,在短短5個月中得到的火星情況,比以往人類歷史上所積累的全部情況還要多,它們的工作電源也是核電池。因為火星表面溫度的晝夜差超過100℃,如此巨大的溫差,一般化學電池是無法工作的。
大海的深處,也是核電池的用武之地。在深海里,太陽能電池根本派不上用場,燃料電池和其他化學電池的使用壽命又太短,所以只得派核電池去了。例如,現在已用它作海底潛艇導航信標,能保證航標每隔幾秒鐘閃光一次,幾十年內可以不換電池。人們還將核電池用作水下監聽器的電源,用來監聽敵方潛水艇的活動。還有的將核電池用作海底電纜的中繼站電源,它既能耐五六千米深海的高壓,安全可靠地工作,又少花費成本,令人十分稱心。
在醫學上,核電池已用於心臟起搏器和人工心臟。它們的能源要求精細可靠,以便能放入患者胸腔內長期使用。以前在無法解決能源問題時,人們只能把能源放在體外,但連結體外到體內的管線卻成了重要的感染渠道,很是使人頭疼。現在可好了,眼下植入人體內的微型核電池以鉭鉑合金作外殼,內裝150毫克鈽238,整個電池只有 160克重,體積僅 18立方毫米。它可以連續使用10年以上。
核電池和阿波羅飛船
1969年7月21日,人類第一次成功地登上月球,使用的是阿波羅11號飛船。在月球表面的“靜海區”著陸之後,進行了一系列科學實驗,例如採集岩石樣品、測定太陽風等等。很多人或許還能記得,當時人們都在屏住呼吸從電視螢幕上觀看人類第一次登上月球的情景,觀看船長阿姆斯特隆和飛行員奧德林在月面上手舞足蹈的動人場面。
在阿波羅11號飛船上,安裝了兩個放射性同位素裝置,其熱功率為15瓦,用的燃料為鈽-238。但是,阿波羅11號上的放射性同位素裝置是供飛船在月面上過夜時取暖用的,也就是說它僅僅用於提供熱源。所以,該裝置又叫做ALRH(Apolo Lunar RI Heater)裝置,意思是阿波羅在月球上用的放射性同位素髮熱器。
但是,在後來發射的用於探索月面的阿波羅宇宙飛船上,安裝的放射性同位素裝置全部是為了發電用的。這就是SNAP-27A裝置。它用的燃料是鈽-238,設計的電輸出功率為63.5瓦,整個裝置重量為31千克,設計壽命為一年。主要是用於阿波羅月面探查的一系列科學實驗。
月球上的一天等於地球上的27天。黑夜的時間占一半,一夜約為地球上的兩周。太陽電池在黑夜期間完全停止工作。與此同時,處於背陽的月面,其溫度會急劇下降好幾百度,從酷熱一下變成了嚴寒的世界。為了使衛星上的地震儀、磁場儀以及其它機械能正常工作,必須利用餘熱進行保溫。
在阿波羅12號飛船上首次裝載的放射性同位素電池——SNAP-27A裝置,其壽命遠遠超過設計時考慮的一年,並能連續供給70瓦以上的電力,完全符合預期的設計要求。由於這一實驗獲得成功.後來在1970年發射的阿波羅14號以及隨後的阿彼羅15號、16號、17號等飛船上都相繼安裝了SNAP-27A裝置。
核電池極其貴重,而且使用鈽-238的核電池我國還不能生產。十幾年前,我國從俄羅斯買過一枚核電池,大小相當於2#乾電池,輸出功率500mW,可以連續輸出200多年,當時買來的價格折合3000萬元人民幣。科學家在嚴密的防護下打開它,結構看起來很簡單,但是研究了幾年也沒有結果,不知道怎么做出來的。

