簡介
最廣為人知的循環數是142857.其循環如下:
142857 × 1 = 142857
142857 × 2 = 285714
142857 × 3 = 428571
142857 × 4 = 571428
142857 × 5 = 714285
142857 × 6 = 857142
分析
為了確認一個數是否是循環數,需要保證這個數是乘連續的若干個數後發生循環。因此,076923不會被認為是一個循環數,即使它各位循環後的數都是它的倍數。
以下這些數比如是循環數;
1、單獨的一位數,如5
2、單位重複的數,如555
3、循環數的重複,如142857
如果前導0不被允許,142857將是唯一一個十進制循環數。如果允許前導0,前幾個循環數是:
142857 (6位)
0588235294117647 (16位)
052631578947368421 (18位)
0434782608695652173913 (22位)
0344827586206896551724137931 (28位)
0212765957446808510638297872340425531914893617 (46位)
0169491525423728813559322033898305084745762711864406779661 (58位)
016393442622950819672131147540983606557377049180327868852459 (60位)
特徵
循環數與單位分數的循環小數表示形式有關。一個長為L的循環數在數字上是1/(L+1)的循環節。相反的,如果1/p(p是質數)的循環節長度為p-1,它的循環節在數字上就是一個循環數。
形式
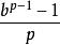
由循環數與單位分數的關係可得,循環數有這樣的形式
循環數其中b是數基(對於十進制,b=10),而p是一個不是b的倍數的質數(能產生循環數的質數被稱為全循環質數)
例如,b=10,p=7時會產生142857.
不是所有的p會根據這個公式產生循環數。例如當p=23時會產生076923076923。這些失敗的例子總包含重複的數。
前幾個產生十進制循環數的質數包括(OEIS中的數列編號為A001913)
7, 17, 19, 23, 29, 47, 59, 61, 97, 109, 113, 131, 149, 167, 179, 181, 193, 223, 229, 233, 257, 263, 269, 313, 337, 367, 379, 383, 389, 419, 433, 461, 487, 491, 499, 503, 509, 541, 571, 577, 593, 619, 647, 659, 701, 709, 727, 743, 811, 821, 823, 857, 863, 887, 937, 941, 953, 971, 977, 983 …
這個數列中所有的數p滿足10是p的模p原根,Emil Artin猜想稱37.395..%的質數屬於這個數列。
構造
循環數可以用程式構造,偽代碼如下(其中b,p的定義上文已給出)
t = 0.
r = 1.
n = 0.
loop:
t = t + 1
x = r * b
d = int(x / p)
r = x mod p
n = n · b + d
If r ≠ 1 then goto loop;
if t = p - 1 then n is a cyclic number.
這個程式通過使用長除法計算1/p的數位構造。r是每一步的餘數,d是產生的數。
若 t > p/2, 則這個數必定為循環數, 無需繼續計算後面部分了。
性質
乘以產生一個循環數的質數時,結果會是一系列的9.如 142857 × 7 = 999999。
如果將其按位劃分成若干等長份並加在一起,結果會是一系列的9.這是Midy定理的特殊情況。如14 + 28 + 57 = 99 142 + 857 = 999 1428 + 5714+ 2857 = 9999
所有的循環數都是9的倍數。
其他進制
二進制
01
0011
0001011101
000100111011
000011010111100101
三進制
0121
010212
0011202122110201
001102100221120122
0002210102011122200121202111
八進制
25
1463
0564272135
0215173454106475626043236713
0115220717545336140465103476625570602324416373126743
十二進制
2497
186A35
08579214B36429A7
二十四進制
3A6LDH
248HAMKF6D
1L795CN3GEJB
19M45FCGNE2KJ8B7
可以證明當 b 為完全平方數時,不存在長度超過1的循環數。
