定義
復變反三角函式是實變數反三角函式在複數域中的推廣。
復變反三角函式
復變反三角函式
復變反三角函式
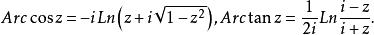
復變反三角函式由 可解得 由此定義復變反正弦函式為 同樣地定義復變反餘弦函式和復變反正切函式為:
反三角函式
反三角函式是一種基本初等函式。它是反正弦arcsin x,反餘弦arccos x,反正切arctan x,反餘切arccot x,反正割arcsec x,反餘割arccsc x這些函式的統稱,各自表示其反正弦、反餘弦、反正切、反餘切 ,反正割,反餘割為x的角。
它並不能狹義的理解為三角函式的反函式,是個多值函式。三角函式的反函式不是單值函式,因為它並不滿足一個自變數對應一個函式值的要求,其圖像與其原函式關於函式 y=x 對稱。歐拉提出反三角函式的概念,並且首先使用了“arc+函式名”的形式表示反三角函式。
初等複變函數
初等複變函數是實變數初等函式在複數域中的推廣。
在實函式中,常數函式、冪函式、指數函式、對數函式、三角函式、反三角函式這六類函式稱為基本初等函式,而一切可由基本初等函式經過有限次四則運算和有限次複合生成的函式稱為初等函式。
復變數的初等函式的定義形式上與初等函式相同,只不過它們的定義域已由實數集合推廣到複數域中。
