基本介紹
復判定係數是指在多元線性回歸分析中,回歸離差平方和占總離差平方和的比重,一般也稱為多重判定係數(multiple coefficient of determination),或簡稱為判定係數。
與一元線性回歸的情形一樣,多元線性回歸的復判定係數的計算公式是:
復判定係數
復判定係數R 表示因變數Y的全部變差中可由的差異解釋的部分所占的比例。
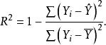
回歸方程的精度與簡潔性的標準往往不可能同時得到最大化的滿足。在回歸方程精度的測量指標中,最常用的指標是 復判定係數。復判定係數的一個重要性質是,它是出現在模型中的自變數個數的非減函式,即隨著自變數個數的增大,R 幾乎必然增大,至少是不減小。為了看清楚這一點,我們先看R 的計算公式:
復判定係數
復判定係數
復判定係數公式中與模型中X變數的個數沒有關係,但與自變數的個數有關,直觀上,隨著X變數個數的增加,其很可能減小(至少不會增大),隨之R 會相應增大。這一變化也可通過圖1所示的圖形表現出來 。
圖1判定係數變化圖調整後的判定係數
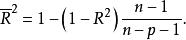
復判定係數建立回歸模型時,不能一味地通過增多自變數的個數來實現回歸精度的提高。因為判定係數逐步提高的過程,回歸方程也就逐漸背離了其簡潔的原則。因而在對回歸方程進行評價時需要進行綜合的考慮和評價。即在考慮模型精度的同時也要考慮模型的簡潔性。進行模型的評價或模型的比較時,必須要考慮到模型中出現的自變數的個數,計算調整後的判定係數。
復判定係數調整是指對判定係數R 計算公式中平方和所涉及的自由度的調整,在一個涉及p+1個參數的模型中,SSE有n-p-1個自由度,而SST有n-1個自由度 。
判定係數與調整後的判定係數的關係
復判定係數
復判定係數與的關係是:
復判定係數從式子中可以看到:
復判定係數
復判定係數
復判定係數1)p>1時,,這意味著增加X變數的個數,調整後的比未調整的增加的慢些。
復判定係數2)雖然R 必定是非負的,但可以是負的。
調整後的判定係數與自變數個數之間的關係如圖2所示。
圖2 調整後判定係數變化圖根據判定係數,不管是通過調整後的還是未經調整的判定係數來比較兩個模型,一定要注意樣本大小n和因變數都必須相同,而自變數可以採取不同的形式與內容。例如:
復判定係數這兩個回歸方程的R 項是不可比較的。
復判定係數
復判定係數
復判定係數
復判定係數因為按定義,R 度量的是因變數的變異可以由自變數解釋的部分,所中R 度量的是X1和X解釋的變異部分;而中的度量的是X和X解釋Y的變異部分,兩者不是同一回事,兩個判定係數所度量的不是同一問題。
復判定係數進行多元線性回歸模型的比較與評價最常用的測量指標是調整後的判定係數,此外,還有其他的準則,包括赤池的信息準則(Akaike Information Criterion,AIC)和施瓦茨準則(Schwarz Criterion,SC)等 。

