定義
關於兩個樣本x和x'的RBF核可表示為某個輸入空間(input space)的特徵向量,它的定義如下所示 :
徑向基函式核
徑向基函式核
徑向基函式核
徑向基函式核
徑向基函式核可以看做兩個特徵向量之間的平方歐幾里得距離。 是一個自由參數。一種等價但更為簡單的定義是設一個新的參數 ,其表達式為 :
徑向基函式核
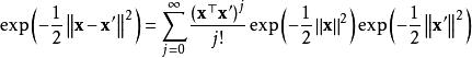
徑向基函式核因為RBF核函式的值隨距離減小,並介於0(極限)和1(當x=x'的時候)之間,所以它是一種現成的相似性度量表示法。核的特徵空間有無窮多的維數;例如時,其展開式為:
徑向基函式核近似
因為支持向量機和其他模型使用了核技巧,它在處理輸入空間中大量的訓練樣本或含有大量特徵的樣本的時表現不是很好。所以,目前已經設計出了多種RBF核(或相似的其他核)的近似方法 。典型的情況下,這些方法使用z(x)的形式,也就是用一個函式對一個與其他向量(例如支持向量機中的支持向量)無關的單向量進行變換,例如:
徑向基函式核
徑向基函式核其中是RBF核中植入的隱式映射。
一種建構這樣的z函式的方法,是對核函式作傅立葉變換,然後從中隨機抽出所需函式 。
