定義
強方向性天線是指方向性係數較大(例如大於2)的天線。即能將輻射功率集中向一個方向輻射或能從接收方向截獲更多能量的天線。強方向性天線可以用長度大於一個波長的單根或多根導線構成,也可以用許多半波天線組成的陣列構成。主要有邊射式和頂射式兩種。
型式
強方向性線天線的主要型式有V形天線、菱形天線、八木天線、對數周期天線、魚骨形天線、同相天線陣等。
2.1V形天線
V形天線屬長線型行波天線。載有行波電流的單根導線,其最大輻射方向可近似地由下式確定:
強方向性天線式中l為導線長度,λ為工作波長,θm為最大輻射方向與天線軸線之間的夾角。將兩根行波天線合在一起,在頂端饋電,就構成V形天線,如圖1所示。如果兩根導線之間的夾角為2θm,則天線兩臂的最大輻射方向將一致指向夾角的分角線方向,構成強方向性天線。
強方向性天線2.2菱形天線
菱形天線屬長線型行波天線,廣泛用於短波通信和廣播。它是由導線組成的菱形結構,水平地懸掛在四根支柱上,如圖2所示。由一個銳角接入電源,在另一個銳角接入與菱形特性阻抗相等的電阻以便獲得行波。菱形天線可以看成是由兩個V形天線連線組成。最大輻射方向在通過菱形兩銳角頂點的垂直平面內。
強方向性天線為在發射菱形天線上獲得較為均勻的特性阻抗,一般是將菱形天線的每邊改用由合而分、再自鈍角由分而合的三線或二線構成。發射功率小(1~3kW)的菱形天線可用特製的集總電阻作為終端匹配電阻(又稱吸收電阻)。當發射功率大時,須用集膚作用大、特性阻抗低的鐵線傳輸線作吸收電阻。
菱形天線的優點是①結構簡單、經濟;②輸入阻抗穩定,調諧方便;③頻帶較寬;④增益較大;⑤方向性前後比大;⑥天線上無駐波,電壓低、可用於較大功率頻率降低時,主瓣仰角自動加大,適合短波通信要求。菱形天線的缺點是①占地面積大;②低頻端副瓣較大;③終接電阻吸收一部分功率,效率不高(約為60~70%)。上述缺點,較之優點是次要的,菱形天線是廣泛採用的天線。
2.3八木天線
八木天線屬無源頂射天線陣。1926年由日本人八木秀次和宇田新太郎首先提出而得名。由一根有源振子和幾根與之共面平行的無源振子組成,振子的長度約為λ/2。有源振子又稱激勵器,無源振子則分為反射器與引向器,反射器一般只有一根,引向器可從一根到十幾根。圖3表示一個八元八木天線。由於無源振子的影響,激勵器的輸入阻抗降低,為便於匹配一般採用折合振子,一副多元八木天線的增益約為6~12dB。
強方向性天線八木天線大多用在超高頻和特高頻段的雷達、通信、電視等方面的視矩通信。它的優點是結構簡單、饋電方便、體積不大、便於轉動。缺點是調整和匹配困難,頻帶較窄。
2.4對數周期天線
對數周期天線是近似頻率無關天線的頂射天線陣。其特性是隨頻率的對數作周期性重複變化。採用足夠小的周期,可使天線特性在一個周期內變化不大,因而可用於很寬的頻帶。一副設計良好的對數周期天線,其頻率寬度可達10:1,在此頻段內特性近於與頻率無關。對數周期偶極子天線(LPDA)是一種結構簡單、造價低廉,廣泛採用的天線,如圖4所示。它是由臂長和間隔均按一定公比遞增的共面平行對稱振子組成。相鄰振子之間用稱為集合線的饋線交叉連線。對於某一工作頻率,只有長度為λ/2左右的一組振子形成一個諧振區,從集合線吸取大量能量並向外輻射。當頻率按周期改變時,諧振區相應轉移,而其中振子長度及間隔按波長度量則仍然未變。這就提供了天線特性小幅度的周期重複。那些離開諧振區較遠的振子,由於呈現很大的電抗,不可能從集合線吸取較大的能量,輻射很少。用於短波的LPDA,其振子平面對地的仰角底保證各振子的對地高度按波長度量是一常數。天線的增益一般可做到15dB。當要求增益再增大時可採用將LP-DA排成天線陣的方法。
強方向性天線2.5魚骨型天線
魚骨形天線是頂射型行波天線,即在公共集合線上接入許多長度相同、間距相等的平行對稱振子構成魚骨形狀,如圖5所示。每一對稱振子的雙臂各通過耦合電阻或電容或電感(用於雙臂長度大於半波長的高增益天線)接到集合線上,集合線的一端接上與其特性阻抗相等的終接電阻,另一端接到接收機上。整副天線水平懸掛在4~6根支柱上。最大接收方向是由接收機指向終接電阻的方向。
魚骨形天線是一種寬波段行波天線,有較大的方向性係數。由於它的副瓣低,干擾噪聲小,在短波收信台套用較廣。
2.6同向天線陣
同相天線陣屬二維邊射天線陣。在雷達和通信中大量採用,多以半波天線為單元組成天線陣。圖6示出由32個半波天線組成的四層平面天線陣。層與層之間相距λ/2,當饋線每經一層交叉一次時便可使所有半波天線上的電流同相,此即名稱的由來,簡稱同相陣。為了獲得單向輻射,在同相陣的後面可加設一面無源反射網。從而與其影像形成一個三維頂射邊射天線陣。
強方向性天線
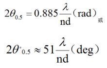
強方向性天線各單元電流幅度相等,相位相同,且以相等間距排列在一直線上的天線陣稱為均勻直線式同相陣。最大輻射方向在垂直於天線陣軸線的方向(一維邊射),其波瓣寬度為
強方向性天線式中n為單元總數,d為間距。方向性係數D近似等於n,與波瓣寬度之積為一常數,即
強方向性天線這種同相陣的副瓣電平約為一13.5dB。
均勻平面式同相陣(二維邊射)的波瓣寬度定義為
強方向性天線式中2θ0.5x,2θ0.5y分別代表沿平面x,y方向直線陣的波瓣寬度。方向性係數可近似由下式求出:
強方向性天線式中n為每層的半波振子數,m為層數。與波瓣寬度之積為一常數,即
強方向性天線以上計算波瓣寬度和方向性係數的公式在實際套用時還應考慮反射網及地面的影響。
同相天線陣的優點是增益高,可承受大功率。缺點是饋電系統複雜,頻帶窄,造價昂貴。
