簡介
廣義高斯-格林公式是一般高斯-格林公式在測度積分形式下的推廣。
高斯-格林公式
利用密度概念可以定義的另一個重要概念是集合在一點處的外法線,當所論集合有光滑邊界時,這個概念很直觀,在一般情形則較為複雜。給定點集Q與測度v,可以定義一個新的測度v∟Q如下:對於集合G,規定G關於v∟Q的測度v∟Q(G)=v(Q∩G)。因此,R 中集合A在一點b處的外法向量是如下定義的一個單位向量u=n(A,b),它使得對於
廣義高斯-格林公式
廣義高斯-格林公式有
廣義高斯-格林公式定義
上述概念只含點集A關於μ的測度性質,而不需要預先知道A的幾何性質,甚至連邊界的概念也未提到,鑒於這樣廣義的概念,使人們可將古典的高斯-格林公式推廣到相當一般的形式:設A為R 中的子集,
廣義高斯-格林公式
廣義高斯-格林公式
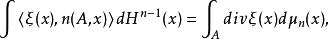
廣義高斯-格林公式如果對於每個緊集,則對於R 上每個有緊支集的李普希茨一階向量場ξ,有
廣義高斯-格林公式
廣義高斯-格林公式此處表示內積。
廣義高斯-格林公式另一方面,若以Bd A記A的普通邊界,則當對於R 中的每個緊集K,都有時,上述條件滿足,從而上述廣義高斯-格林定理成立。
測度
數學上,測度(Measure)是一個函式,它對一個給定集合的某些子集指定一個數,這個數可以比作大小、體積、機率等等。傳統的積分是在區間上進行的,後來人們希望把積分推廣到任意的集合上,就發展出測度的概念,它在數學分析和機率論有重要的地位。
定義1:構造一個集函式,它能賦予實數集簇М中的每一個集合E一個非負擴充實數mE。我們將此集函式稱為E的測度。
定義2:設Γ是集合X上一σ代數,ρ :Γ → R∪{ +∽ }是一集合函式,且ρ滿足:
(1)(非負性)對任意的A∈Γ,有ρ(A)≧0;
(2)(規範性)ρ(Φ) = 0;
(3)(完全可加性) 對任意的一列兩兩不交集合A1,A2,……,An,……有ρ(∪n An)=∑n ρ(An)
則稱ρ是定義在X上的一個測度,Γ中的集合是可測集,不在Γ中的集合是不可測集。特別的,若ρ(X) = 1 ,則稱ρ為機率測度。
