簡介
廣義單側導數是單側導數的推廣。
若f在a處連續,則廣義單側導數即為單側導數。
廣義左(右)導數
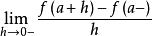
廣義單側導數 設實函式f在a∈R的某個左領域內有定義且左極限f(a-)存在,若極限存在,則此極限稱為f在a處的廣義左導數,記為f'_(a-)或f'_(a-0)。
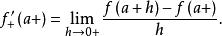
廣義單側導數 類似的,定義廣義右導數
單側導數
函式的導數實際上是一種特殊形式的函式極限。函式有左、右極限的概念,因此也可以定義函式在一點的左、右導數。對於分段函式,如何判斷它在分段點處的可導性,就要用到在分段點處的左、右導數。
廣義單側導數 設函式y=f(x)在x點及其一個左(右)領域(x-δ,x)((x,x+δ))有定義。如果極限存在,則稱此極限為函式f(x)在點x的左(右)導數,左右導數統稱為單側導數。
