介紹
庫克三分離物鏡(英語:Cooke triplet)是1893年英國一家望遠鏡廠庫克父子公司的光學設計師哈咯得·丹尼斯·泰勒(Harold Dennis Taylor)設計的。丹尼斯·泰勒的基本構想是:把同等度數的單凸透鏡和單凹透鏡緊靠一起,結果自然度數為零,像場彎曲也是零。但是鏡頭的像場彎曲和鏡片之間的距離無關,因此把這兩片原來緊靠一起的同等度數的單凸透鏡和單凹透鏡拉開距離,場彎曲仍舊是零,但是總體度數不再是零,而是正數。但是這樣不對稱的鏡頭自然像差很大,於是他把其中的單凸透鏡一分為二,各安置在單凹透鏡的前後一定距離處,形成大體對稱式的設計,這就是庫克三片式鏡頭。
庫克三分離物鏡一共有8 個自由度,即3個焦度,3個形狀指數和2 個間距,恰好足夠決定物鏡的焦距和7個賽德爾像差。
焦度與像差
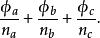
庫克三分離物鏡的焦度公式:
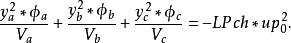
庫克三分離物鏡色差公式:
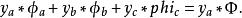
庫克三分離物鏡佩茲瓦爾像場彎曲公式
庫克三分離物鏡
庫克三分離物鏡
庫克三分離物鏡
庫克三分離物鏡
庫克三分離物鏡其中 是 軸向光線在三鏡片中心的高度, 分別為三鏡片的折射率;為三鏡片各自的焦度;為三鏡片的阿貝數。
這三個方程式是三鏡片焦度的線性函式,對於給定的 折射率和阿貝數,根據選定的y 參數可以求得三個角度和鏡片的兩個間距,如果所得的像差仍然超過預定值,可改變 y 參數之一,重新計算,一直到色差滿意。第二部是反覆改變三個鏡片的彎曲指數,以求得滿意的球面像差。
光學玻璃的選擇
為了經濟原因,一般的庫克三分離物鏡選用普通的光學玻璃;對於孔徑大於 f/2.8 的庫克三分離物鏡,必須選用高折射率的鑭玻冕玻璃。
庫克三片式鏡頭列表
•Carl Zeiss Triotar
•Carl Zeiss Hologon
•Rodenstock Trina
•Schacht Travegar
•上海4型雙反照相機 主鏡頭 75毫米 1:3.5庫克三片式鏡頭; 取景鏡頭 75毫米 1:3.5庫克三片式鏡頭

