定義
剛體的運動可看作是隨基點的平動,再加上剛體繞基點的轉動,如果基點被限制在平面上運動,則這種剛體的運動就稱為剛體的平面平行運動。即剛體作平面平行運動時,剛體中任意一點始終在平行於某一固定平面的平面內運動。如火車車輪在直線軌道上的滾動,就屬剛體的平面平行運動。
剛體作平面平行運動的條件的討論
剛體在力系作用下,不完全是作平面平行運動,但當剛體符合某些條件時就作平面平行運動了。以下對剛體作平面平行運動所須滿足的條件進行推導。
平面平行運動上面提到的火車車輪在直線軌道上的滾動,其輪子的滾動為平面平行運動,在運動的過程中,對輪子分析,輪子受到重力、約束反力和推力等,可見輪子所受的力顯然為一空間力系。即輪子所受的力可看作平行於某固定平面的平面上的平面力系。為學了便於理解,當剛體受到的力為平行於某固定平面的平面上的平面力系時,根據剛體力學的一般規律及剛體運動的特點進行分析,建立個如圖所示的o-xyz靜止坐標系(xoy坐標面與某固定平面平行)及質心平動坐標系 。
圖1.o-xyz靜止坐標系若要使剛體作平面平行運動,則剛體必須由始至終平行於xoy平面,即在z軸方向的合力為0。
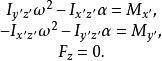
根據質心運動定理及對質心的動量矩定理,得根據質心運動定理和對質心的動量矩定理,有剛體質心運動微分方程
平面平行運動可見若要使剛體作平面平行運動,其必須滿足
平面平行運動運動的過程中,剛體所受的力為平行於某固定平面的平面力系,且當作用在其上的力系滿足時,根據上式有
平面平行運動
平面平行運動
平面平行運動
平面平行運動若當 和 不會同時為零時,有 ,此時即cz'軸必為剛體的中心慣量主軸。
剛體作平面平行運動的充要條件可歸納為以下三個:
1、剛體在運動過程中,作用其上的力系一般為空間力系,剛體上任何一點到某固定平面的距離始終保持不變。
2、必須滿足剛體作平面平行運動的動力學條件。
3、當作用在剛體上的力系滿足時,軸必為剛體的中心慣量主軸。
