平衡不完全區組設計

平衡不完全區組設計

平衡不完全區組設計(balanced incomplete block design),簡稱BIBD,是一類重要的區組設計。若X為v元點集,居為X的一些k元子集組成的族(這些k元子集稱為區組),使得X中的任意點對恰好出現在幾個區組中,則稱區組設計為一個平衡不完全區組設計。

基本信息

平衡不完全區組設計的定義

需滿足條件

將v個水平安排到b個區組中,若滿足以下幾個條件,稱為平衡區組設計:

(1)每個區組包含k個水平一區組大小;

(2)每個水平在r個區組中出現一水平重複數;

(3)每對水平在λ個區組中相遇一相遇數。

若k<v,且B是平衡區組設計,則B是一個平衡不完全區組設計(BIBD)。

參數

平衡不完全區組設計有五個參數:

(1)b:區組數;

(2)v:水平數;

(3)k:在每個區組中水平的個數;

(4)r:包含每個水平的區組的個數;

(5)λ:包含每對水平的區組的個數。

在這裡我們稱b、v、k、r、λ為BIBD的參數。

定義

定義:BIBD的關聯矩陣為v x b階的0-1陣:

平衡不完全區組設計 平衡不完全區組設計
平衡不完全區組設計 平衡不完全區組設計

關聯矩陣有以下幾個基本性質:

(1)A的每一行和為r;

(2)A的每一列和為k;

(3)A的任意兩行的內積為λ。

BIBD各參數之間的關係及其性質

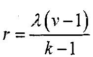
(1)定理1:在一個BIBD中,每個處理含於r個區組中,其中:

平衡不完全區組設計 平衡不完全區組設計

1)推論1:在BIBD中,有bk=vr。

證明:通過行來計算,BIBD的關聯矩陣A中1的個數為6k。通過列來計算,則A中1的個數為vr。因為兩種計數方法的結果相等,所以有bk=vr。

2)推論2:在BIBD中,有λ<r。

證明:根據定義,在BIBD中,有k<v,從而k一1<v一1,使用定理1的結果,λ<r顯然成立。

(2)定理2:Fisher不等式:在一個BIBD中,b≥v。

(3)在一個BIBD中,有參數v=nk、b、r、k和λ,如果b>v+r-1,那么r≥λ+2k。反之也成立。

平衡不完全區組試驗設計的特點

優點

(1)經濟性:

全部試驗水平可以不安排在同一個區組內進行,對區組的要求較低,經濟的解決了試驗成本。

(2)平衡性:

1)每個試驗水平重複次數相同(r相同);

2)每個區組包含的水平個數相同(k相同);

3)任意兩個水平對,在整個試驗中出現的重複次數相同(λ相同)。

(3)靈活性:

可以根據k的大小,靈活、分散的進行試驗。

(4)計算的嚴密性:

有嚴格的數學方法有效的消除系統誤差,故試驗精度高。

缺點

平衡不完全設計的缺點是:計算複雜 。

相關詞條

熱門詞條

聯絡我們