定義
平行順序移動法,是指一批零件在一道工序上尚未全部加工完畢,就將已加工好的一部分零件轉入下道工序加工,以恰好能使下道工序連續地全部加工完該批零件為條件的移動方式。
周期計算
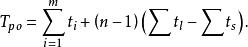
平行順序移動法計算公式:
註:
T平順:平行順序移動方式加工周期;
n:零件批量;
平行順序移動法:第i道工序的加工時間;
平行順序移動法:比相鄰工序單件工時均大的工序的單件工時(在比較時,可以默認在第一道工序前、最後一道工序後加入兩個時間為0的虛擬工序);
平行順序移動法:在公式一中,指比相鄰工序單件工時均小的工序的單件工時;
平行順序移動法例:一批製品,批量為4件,須經四道工序加工,各工序時間分別為:。採用平行順序移動方式計算:
根據公式:
平行順序移動法=(10+5+15+10)+(4-1)×(15+10-5)
=100
優缺點
優點:勞動過程中中斷時間比順序移動方式的少,零件生產周期較短;在一定程度上消除了工人與設備的空間時間,使工人和設備的空間時間集中起來,便於用來做其他工作。
缺點:組織管理比較複雜 。
運用
(1)當前道工序的單間作業時間小於或等於後道工序的單間作業時間時,則前道工序上完工的每一個零件應立即轉移到後道工序去加工,即按平行移動方式單件運輸。
(2)當前道工序的單間作業時間大於後道工序的單間作業時間時,則前道工序上完工的零件,並不立即轉移到後道工序去加工,而是等待到足以保證後道工序能連續加工的那一刻,才將完工的零件全部轉移到後道工序去,這樣可以避免後道工序出現間斷性的設備停歇時間,並把分散的停歇時間集中起來加以利用 。
相關條目
平行移動法 順序移動法

