簡介
當把彈翼、彈身、尾翼(或舵面)等部件組合到一起作為一個完整的飛彈來研究它的空氣動力時,可以發現,全彈總的空氣動力並不等於各單獨部件的空氣動力的總和,這個現象的物理本質在於部件組合在一起的繞流情況發生了變化。例如,安裝在彈身上的彈翼,由於彈身的影響,繞該彈翼的流動就不同於繞單獨彈翼的流動,於是彈翼上的壓強分布、空氣動力及空氣動力矩都將發生變化,這種現象稱為空氣動力干擾,組合到一起的各部件之間的空氣動力干擾主要是彈翼與彈身間的相互干擾,以及彈翼和彈身對尾翼的干擾。
相關計算公式
干擾升力
干擾升力
干擾升力
干擾升力彈翼對全彈升力的貢獻除了單獨彈翼提供的 以外,還有翼身干擾引起的干擾升力,它包括兩部分,一部分是彈身對彈翼的干擾,這部分干擾升力以 表示;另一部分則是彈翼對彈身的干擾,其干擾升力用 表示,如果以 表示彈翼對全彈升力的貢獻,則有
干擾升力因此,就升力來說,翼身之間的干擾是有利的。
對於正常式布局、水平平置翼(或“+”型翼)的飛彈來說,全彈的升力可表示為
干擾升力
干擾升力
干擾升力式中, 為單獨彈身的升力; 為尾翼的升力。
工程上通常用升力係數來表述全彈的升力。在寫成升力係數表達式時,各部件提供的升力係數都要折算到同一參考面積上,然後各部件的升力係數才能相加。如果以正常式布局飛彈為例,以彈翼的面積為參考面積,則有
干擾升力
干擾升力
干擾升力
干擾升力上式右端的三項分別表示彈翼、彈身和尾翼對升力的貢獻,其中, 和 反映了彈身最大橫截面積和尾翼面積對於參考面積(彈翼面積)的折算; 為尾翼處的速度阻滯係數,反映了對尾翼處動壓的修正。
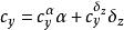
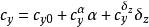
干擾升力
干擾升力當攻角 和升降舵偏角 比較小時,全彈的升力係數還可表示為
干擾升力
干擾升力
干擾升力式中, 為攻角和升降舵偏角均為零時的升力係數,它是由於飛彈外形相對於 螢幕不對稱而引起的。
干擾升力
干擾升力對於軸對稱飛彈, 。於是有

