基本介紹
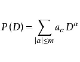
常係數微分運算元是係數為常數的線性偏微分運算元,其一般形式為:
常係數微分運算元
常係數微分運算元其中 為常數(實數或複數)。例如,拉普拉斯運算元
常係數微分運算元
常係數微分運算元
常係數微分運算元熱運算元 ,波運算元 等都是常係數微分運算元。線性偏微分運算元理論中的若干重要問題,如基本解的存在性、局部可解性、亞橢圓性的判定等對於常係數情形均已完全解決 。
基本解的存在性定理
常係數微分運算元
常係數微分運算元
常係數微分運算元基本解的存在性定理(theorem for existence offundamental solution)是關於基本解存在性的一個定理。該定理斷言:每個非零的常係數微分運算元 都有基本解, 的基本解E作為廣義函式可如下構造: ,
常係數微分運算元
常係數微分運算元
常係數微分運算元
常係數微分運算元
常係數微分運算元其中 表示 的逆傅立葉變換。H為 中某個適當的區域,滿足 ,由基本解的存在可知常係數微分運算元是局部可解運算元。
亞橢圓常係數微分運算元
常係數微分運算元
常係數微分運算元亞橢圓常係數微分運算元(hypoelliptic differential operator with constant coefficients)是最基本的亞橢圓運算元,設 是常係數微分運算元,則下述條件中的每一個都是 為亞橢圓運算元的充分必要條件:
常係數微分運算元
常係數微分運算元
常係數微分運算元
常係數微分運算元
常係數微分運算元1.以 記 集合 的距離,則當 時, 。
常係數微分運算元
常係數微分運算元
常係數微分運算元2.存在正的常數c及C,當 且 充分大時,不等式 成立。
常係數微分運算元
常係數微分運算元
常係數微分運算元
常係數微分運算元
常係數微分運算元3.記 ,對於每個非零多重指標 ,當 且 時,有 。
常係數微分運算元
常係數微分運算元
常係數微分運算元4.存在正的常數c及C,當 且 充分大時,不等式 成立 。
施瓦茲定理
常係數微分運算元
常係數微分運算元
常係數微分運算元
常係數微分運算元
常係數微分運算元
常係數微分運算元
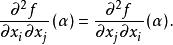
常係數微分運算元施瓦茲定理[Schwarz(th.de)]設 為 的開集 上的連續可微的數值函式,且在 的點 處兩次可微,則對 的任一相異元素偶 ,必有
常係數微分運算元
常係數微分運算元
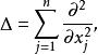
常係數微分運算元這個定理表明,在 上無限可微的全體函式之向量空間 的全體自同態之代數中,所有自同態
常係數微分運算元兩兩可交換。因此,由這些自同態生成的酉子代數是交換的;它的元素是常係數微分運算元 。
定強微分運算元
常係數微分運算元
常係數微分運算元
常係數微分運算元
常係數微分運算元
常係數微分運算元對 定義的微分運算元稱為在中 具定強,若對任意固定的,常係數微分運算元及是等強的,即
常係數微分運算元下面的引理把這個條件改成通常更方便的形式。
常係數微分運算元
常係數微分運算元
常係數微分運算元
常係數微分運算元
常係數微分運算元引理1 設具定強,對固定的令並設是弱於的常係數運算元的有限維向量空間的基底,則有
常係數微分運算元
常係數微分運算元
常係數微分運算元
常係數微分運算元這裡係數唯一確定,在為0且有與的係數相同的可微性及連續性質 。

