簡介
希爾球是環繞在天體(比如行星)周圍的空間,那裡的天體(比如衛星)主要受到它的控制,而不是被其它較大天體(比如恆星)所控制。因此,該天體能保留住在那裡的次級天體,而這些次級天體的軌道必須在該天體的希爾球內。比如月球也會有它的希爾球,任何位於月球的希爾球內的天體將會成為月球的衛星,而不是地球的衛星。
更精確的說,希爾球接近於一個小天體在面對著一個大許多的天體的重力影響下,只會受到攝動影響的引力球範圍。這是美國天文學家喬治·威廉·希爾以法國天文學家愛德華·洛希的工作為基礎所定義的,由於這個緣故,它有時也被稱為 洛希球。
為了說明,考慮木星環繞著太陽的具體事例,對太空中任何的點,可以計算下面三種力的總和:
來自太陽的引力,來自木星的引力,在有著與木星相同頻率繞著太陽運轉的微粒所受到的離心力。木星的希爾球是以木星為中心,這三種力量的總和永遠都指向木星的最大的球。以一般的用語來說,它是圍繞在繞著主要天體的次要天體周圍的球形,在這個球形內的淨力是一個指向次要天體的向心力。因此,希爾球在我們的例子中是描述一顆小的天體,像是衛星或人造衛星可以在木星附近穩定的繞著木星運轉,而不會單純的進入橢圓軌道繞著太陽運轉的最大極限範圍。
在兩個天體的連線方向上,希爾球的邊界在拉格朗日點L1的等位面上,這也是次要天體的影響力最遠的方向,並且以此做為希爾球大小的限制因素。超越了這個距離,第三個天體環繞著次要天體(此處以木星為例)的軌道就至少會有一部分逸出了希爾球,並且將會受到主要天體(此例中為太陽)漸增的潮汐力攝動,最後終將繞著後者運轉。
雖然都是與洛希有關的術語,但 洛希球絕不能和洛希極限或是洛希瓣混淆在一起。洛希極限是僅由重力維繫的物體受到潮汐力作用開始被破壞的距離;洛希瓣是希爾球的最大界限面。
希爾球只是估計的大小,因為還有其它的力(像是輻射壓和雅爾可夫斯基效應)也會造成攝動使它逸出到球外。第三個天體的質量也必須夠小,才不致於因為自身的引力影響而使情形變得複雜。詳細的數值計算顯示,軌道在或正好在希爾球內的天體,在長遠看來仍是不穩定的;看起來穩定的衛星軌道半徑只在希爾球半徑的1/2或1/3的範圍之內(逆行軌道似乎比順行軌道穩定)。真實穩定的區域
公式
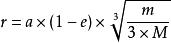
如果較小的天體(例如地球)質量是 m,被它環繞的較重的天體(例如太陽)質量是 M,軌道半長軸是 a,離心率是 e,則較小天體(例如地球)的希爾球半徑 r的近似值為:
希爾球當離心率可以忽略時(最有利於穩定軌道),公式可以簡化為:
希爾球在地球的例子中,地球質量為5.976×10^24公斤,以1.496億公里的距離環繞著質量1.999×10^30公斤的太陽,希爾球的半徑大約是150萬公里(0.01天文單位)。月球繞地球的軌道平均距離為38萬8千400公里,很安穩的在地球引力的勢力範圍內,沒有被扯入獨立繞行太陽軌道的危險或顧慮。根據軌道的周期:地球所有穩定的衛星,它的軌道周期必須短於7個月。
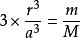
上述(省略調離心率)的公式可以再改以下面的形式呈現:
希爾球如此的表示法將希爾球的體積與次要天體環繞主要天體的軌道體積做了比較上的聯繫。具體的說法,質量的比率是這兩個球體積比值的三倍。
快速的估計希爾球半徑的方法是將上述等式中的質量用密度來取代:
希爾球這是很方便的型式,可以快速評估一個天體是否有解體的風險。
例子
太空人不可能在地球上空300公里之處圍繞著太空梭(質量大約104公噸)運轉,因為太空梭的希爾球半徑只有120厘米,遠比太空梭本身還要小。事實上,任何一顆低地球軌道衛星(高度 1,400公里),密度必須是鉛的800倍以上(9102.6 g/cm),才可能擁有自己的希爾球,否則它將不足以勝任支持任何的軌道。(鉛的密度是11.34 g/cm,地球質量為 5.9742×10kg。一顆球形的同步衛星將需要鉛密度的5倍才足以維繫自己的衛星,這樣的衛星密度是地球上自然產物中密度最高的元素銥的2.5倍(同步軌道的高度是35,786 公里,銥的密度是22.65 g/cm)。只有在兩倍於同步軌道的高度上,一顆鉛球可以維繫自身的衛星軌道;由於月球的軌道遠大於同步軌道距離的2倍以上,因此環繞月球的軌道是存在的。
在太陽系,海王星有著最大的希爾球,半徑是1億1,600萬公里,或是0.775天文單位;因為他與太陽距離的遙遠,充分的補償了它的質量低於木星的不足,木星的希爾球半徑只有5,300萬公里。 主帶小行星中的榖神星,希爾球的半徑只有22萬公里。因為質量的迅速減少,有一顆衛星的1994 KW4,是接近水星的小行星,希爾球的半徑為22公里。
revise:
希爾球天體不管大小,都有一個基本上只受本身引力控制的區間,就是該天體的希爾球。
示例是一個質量比為4/1的兩個天體。
end revise.
推導
一個不很嚴謹,但概念上是正確的可以推導出希爾球半徑,就是可以利用人造衛星環繞一個天體(例如行星)的軌道角速度和這個天體本身環繞母天體的軌道角速度相等,這粗略的是恆星重力影響與行星相等的半徑。這在數量級上的數值精確度上是正確的。
revise:
希爾球
希爾球
希爾球
希爾球
希爾球用 做簡化的希爾球半徑確實很簡單。
但是這個“希爾球”已經跑到L1、L2以外了,這個簡化十分不可取!
end rivise.

