工作擴大化和工作豐富化的重要目的之一是激發人的工作動機,提高人對工作的滿意感。因此,當研究工作具有何種特徵才能使人產生積極地心理狀態,進而達到激發動機、對工作感到滿意的結果。哈爾曼和奧爾德姆(Hackman and Oldman)通過大量的問卷調查,於1976年提出了他們的工作特徵模型 。
從圖中可以看出,該模型由三個部分組成,即核心的工作特徵、關鍵的心理狀態與個人和工作的結果。下面分別來闡述這三個部分及其關係。
工作激勵的工作特徵模型關鍵的心理狀態
要激發職工積極的工作動機,對工作產生滿意感,應具備三個必要的條件。第一,職工個人必須體驗到他所從事的工作具有重要的意義。如果他認為自己的工作無關緊要,就不可能激起高度的工作動機,也不會產生高度的滿意感。第二,要提高工作動機和滿意感,職工個人必須體驗到他對工作及其結果負有個人責任。如果他感到工作績效的好壞與個人的責任有關,那么,在工作取得良好的績效時,他會感到高興、愉快,在工作績效不佳時,則會感到內疚。第三,要及時了解工作的結果。無論職工個人認為工作多么重要,也無論他認為自己對工作負有多么重大的責任,如果他不能及時了解自己工作的進展情況和結果,他也不能在工作完成後產生愉快的心情。這三個必要的條件都是人的內在心理因素,因此被稱為關鍵的心理狀態。
核心的工作特徵
在進行工作設計時,什麼樣的工作特徵才能引起上述的關鍵心理狀態呢?哈克曼和奧爾德姆提出了五種特徵 :
(1)技能多樣化。技能多樣化是指在完成工作中要求多種技能的程度。因此它不僅能擴大工作的橫向數量(工作擴大化),而且擴大工作的縱向水平(工作豐富化)。
(2)任務完整性。這是指工作要求完成完整任務單元的程度,也就是說,個人可以從頭到尾完成一項任務的程度。
(3)任務意義性。這是指該項工作所組織內外其他人的工作和生活產生重大影響的程度。
(4)任務自主性。這是指個人能夠自主地安排自己完成任務進度的程度。
(5)任務反饋性。這是指個人能夠得到自己工作效果的明確信息的程度。
只有要求多樣化技能,形成一個完整單元並對其他人有重要影響的工作才能被人體驗為有重要意義的工作。這就是說,工作特徵的前三項內容與體驗到工作意義這種心理狀態相對應,具有高度自主性的工作特徵則與工作的責任感相聯繫,具有明確反饋信息的工作則與清楚的了解活動的結果這種心理狀態密切相關。
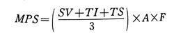
哈克曼和奧爾德姆進一步把上述五個工作特徵加以綜合,形成一個單維度的指標,這個指標被稱為激勵潛在分數(MPS),從而提出下述的公式:
激勵潛在分數公式式中:MPS=激勵潛在分數;SV=技能多樣化;TI=任務完整性;TS=任務意義性;A=任務自主性;F=任務反饋性。
個人和工作的結果
具有上述五種工作特徵的工作會引起上述三種關鍵心理狀態,而這樣的心理狀態將會導致一定的個人結果和工作結果。從個人結果來看,會產生高度的內在工作動機和對工作的高度滿意感。從工作的結果來看,則會出現高質量的工作績效和較低的缺勤率和離職率。
應當指出,人與人之間是存在個別差異的。並非豐富化的工作必然會引起人們關鍵的心理狀態而導致高度工作動機、高度滿意感和回響的工作績效。只有具有高度成長的需要的職工才會在豐富化的工作中取得良好的結果。哈克曼和奧爾德姆模型的底部正是說明了這種情況。
工作設計方法在實際中的套用
實際哈克曼和奧爾德姆的工作特徵模型描述的有效工作設計原理可以從兩個方面用於實際。一種是對組織中新設定的工作崗位按照工作豐富化的原理進行設計;另一種則是對願意存在的缺乏激勵因素和滿意感很低的工作按豐富化原則進行重新設計,這叫做工作再設計(job redesign)。
應當指出,工作豐富化的工作設計原則是在西方已開發國家中提出的。我國是開發中國家,企業機械化和自動化水平的發展很不平衡。在我國企業中是否可以實行工作豐富化原則以及如何實行,都是有待我國學者進一步研究的問題。

