簡介
層流預混火焰廣泛套用於日常生活、工業設備及工業生成過程中。例如:煤氣爐、加熱爐、本生燈等均用到層流預混燃燒火焰,玻璃製品生產過程中必需用到天然氣的層流預混火焰,而內燃機等設備的燃燒室是基於層流預混火焰的傳播機理來設計的 。
認識層流預混燃燒火焰是研究湍流燃燒火焰的基礎,許多有關湍流燃燒的機理就是根據層流預混火焰的機理建立的。通過研究某種燃料的層流預混火焰結構和火焰傳播性質可研究認識該燃料的燃燒特性和化學動力學,可以為改進燃料的燃燒技術和燃燒設備提供理論依據。此外,理論研究層流預混火焰結構和火焰傳播可以更好地理解燃燒過程,為套用過程中有效控制燃燒過程提供理論依據。因此,國內外的研究者十分重視層流預混火焰的研究。
層流燃燒是研究燃燒機理的重要內容。隨著能源和環境問題的日益突出,降低內燃機燃油消耗率和控制內燃機有害排放的要求越來越高;因而加強對燃燒機理的研究就顯得十分重要。在實際的火花點火內燃機中,火焰最初是層流火焰,隨著火焰的發展,層流火焰最終轉變成湍流火焰;但此時的湍流火焰發展結構是高褶皺的層流火焰,在相同的湍流強度和進氣方式下,其湍流燃燒速度取決於不同燃料的化學物理性質,也就是燃料的層流燃燒
特性。因此,層流火焰是湍流火焰的基礎,是影響內燃機燃料燃燒狀況和效率的重要因素,是理論預測燃燒過程以及研究排放物生成機理的重要依據。另外,層流燃燒速度還是用來驗證燃料的化學反應機理的重要參數,同是也是模擬湍流預混火焰傳播的重要輸入參數之一。所以,對於燃料層流燃燒特性的研究有著重要的意義。在最近幾年內,隨著測試技術的不斷提高,各國的研究者們在進行層流燃燒研究的同時都很注重測試設備、測試方法以及測試新技術的改進和使用。因為研究手段與方法在一定程度上影響著研究結果的準確J險,所以,本文主要對目前層流燃燒特性研究領域比較常用的幾種具體實驗方法進行對比分析。
層流燃燒基本方程及其性質
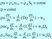
絕熱 基本方程組
絕熱 基本方程組基本假設:一維定常層流有反應流動;忽略輻射和體積力;完全氣體;比熱為常數;馬赫數<<1 ;絕熱 基本方程組
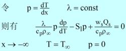
絕熱邊界條件
絕熱邊界條件使二階微分方程有 三個邊界條件,其解只存在於某些特定的參量Sl,即本徵值問題 ·目的不是求溫度分布和濃度分布,而是找出S。
絕熱邊界條件絕熱邊界條件
冷端難題
層流預混燃燒在冷端,由於溫度梯度為零,如果反應率不為零,則火焰傳播 速度為無限大,即沒有解 ·因此解的存在要求冷端 反應率為零。意味著冷端無著火。實際上冷端反應率 不為零。這就是冷端難題 ·但是由於冷端溫度較低,反應率接近於零,數學描述近似地滿足了 物理過程。
溫度和濃度剖面的相似和焓值的守恆
層流預混燃燒不論劉易斯數是否為1,冷端和熱端的焓值相等。
熱端溫度為絕熱燃燒溫度。
劉易斯 數為1時,火焰的各斷面上溫度和濃度剖面相似
層流預混燃燒劉易斯數為1,而且只有劉易斯數為1時,在垂直於火焰的方向上焓值處處守恆
層流預混燃燒火焰速率影響因素
當量比的影響
隨著當量比的增加,層流火焰速率增加,在當量比為1.1時達到最大值,之後層流火焰速率隨著當量比的增加而減小。過濃或過稀的混合氣都會抑制火焰的傳播,且此時的實驗值與模擬值偏差較大 。
壓力的影響
在初始溫度為363K,丙烷含量為30%時,不同初始壓力對層流火焰速率和質量燃燒率的影響。層流火焰燃燒速率在當量比為1.1附近達到最大值,且隨著初始壓力的增加層流火焰速率降低。質量燃燒率可以直觀的表征化學反應和放熱的快慢質量燃燒率在當量比為1.1附近最大,即此時的化學反應速率最快,因此層流火焰速率達到最大值。質量燃燒率隨著壓力的增加而增加,表明燃燒過程加劇,這是因為隨著初始壓力的增加,混合氣的密度增加,容彈內部參與化學反應的燃料和氧化劑分子數增加,從而化學反應速率加快。
溫度的影響
初始壓力為0.1MPa,丙烷含量為30%時,不同初始溫度下層流火焰速率和質量燃燒率隨著當量比的變化情況。層流火焰速率和質量燃燒率均在當量比為1.1處達到最大值。隨著初始溫度的增加,層流火焰速率和質量燃燒率明顯增加。隨著初始溫度的增加,容彈內的混合氣體密度減小,進一步加強了火焰的傳播。
層流預混燃燒的數值計算
燃燒是高速化學反應的過程,單純的實驗研究很難對其內部過程進行詳細地認識。隨著計算機技術的發展,利用計算機對燃燒過程進行數值計算研究近年來成為一種十分重要的研究方法,逐漸形成了一個新的研究學科:計算燃燒學。計算燃燒學是以流體力學、傳熱傳質學、化學反應動力學、燃燒理論、計算數學等為基礎,以高速大容量計算機為工具,通過計算手段研究各種燃燒現象的機理,研究燃燒過程的規律和特點,實現對燃燒現象的準確分析和預測。目前己開發出多種計算燃燒問題的軟體和程式。
除CHEMKIN外,還有一些不同特點的燃燒計算程式、軟體:
(1) FLUENT軟體:FLUENT是FLUENT公司開發的用於模擬流動、傳熱、燃燒等問題的大型通用商業軟體,是目前計算流動、傳熱、燃燒問題最常用的軟體之一。
FLUENT軟體包含了目前較為常用的湍流模型、熱輻射模型、多相流模型、燃燒模型;可以選用非結構化格線和結構化格線;具有以壓力為基礎的算法和以密度為基礎的算法。FLUENT可以計算從低速到高速的流動問題,其湍流模型和熱輻射模型都是目前比較先進的計算模型,因此FLUENT可以很好地計算流動和傳熱問題。對於燃燒問題,FLUENT採用的燃燒模型與燃燒反應機理則相對簡單。FLUENT對於固體燃料燃燒很難精確描述燃燒區域的物理模型;對於氣體燃料燃燒其機理只有幾步反應甚至採用總包反應機理。因此,FLUENT對於燃燒問題的計算僅能夠滿足工程需要;無法滿足對燃燒過程的詳細研究和複雜模型的燃燒反應計算要求。
(2) PER程式:PER是基於平衡常數法計算燃料等壓或等容燃燒的絕熱火焰溫度、燃燒產物組分等的程式,可以方面計算各種燃料的性質。
(3) CEA軟體:CEA是美國NASA-Lewis研究中心Gordon } McBride等人開發的基於最小自由能原理計算燃燒化學平衡的軟體。
(4) STANJAN程式:STANJAN是美國史丹福大學Reynolds教授開發的基於元素勢原理計算化學平衡成分的程式,它可以計算燃燒產物的平衡成分、絕熱火焰溫度等。
(5) KIVA軟體:KIVA是美國Los Alamos國家科學實驗室開發的用於分析內燃機中流動、燃燒和傳熱問題的大型軟體。KIVA包括前處理器(K-PREP)、計算主程式(HYDROCODE)、後處理器(K-POST);對於流場的計算採用壓縮性修正的k一二湍流模型、RNGk-:湍流模型和亞格線尺度模型(SGS);噴霧模型採用改進的離散油滴模型(DDM);燃燒模型採用部分平衡流模型;邊界處理採用熱流壁函式。KIVA在計算內燃機燃燒室內的流動、燃燒問題方面具有很大的優勢。
層流預混燃燒的試驗研究方法
到目前為止,試驗仍是研究層流燃燒的最有效方法。對於發動機燃用可燃預混氣體層流燃燒數據的測定一般都不在發動機氣缸內進行,這是因為在發動機上,很難控制和調整初始燃燒條件及運行條件,如溫度、壓力、燃氣成分、當量比、殘餘廢氣係數等這些參數。
近些年來,測量可燃氣體層流燃燒數據的試驗方法主要有滯止面火焰法、熱流法、肥皂泡爆炸法及定容彈法。
滯止面火焰法
在常壓條件下,為了獲得定常絕熱的火焰面,滯止面火焰法是最常使用的一種燃燒基礎研究方法。
在火焰前峰面靜止的條件下,測定不同形態火焰的拉伸應變及其形態結構,進行推導,獲得層流火焰燃燒速度等參數。採用這一原理進行試驗研究的方法主要包括本生燈法、平面火焰法、逆流雙火焰法及平坦火焰法。
熱流法
熱流法以溫度分布的角度對火焰結構進行分析,並且通過能量方程求解相關參數。主要試驗方法有兩種:多孔燃燒器法和鈉譜線反轉法。
肥皂泡爆炸法
F W. Stevens曾發展了肥皂泡爆炸技術,並用來測量火焰速度。在這類試驗中,燃燒波在層流傳播過程中未受到外來大氣流及固體表面影響。但是在這種方法中,很難保持火焰前峰面以球形擴散,而且極易在預混氣中摻雜水分,影響燃燒結果。
定容彈法
採用定容彈試驗法測定層流燃燒速度是近幾年套用最為廣泛的方法之一。R. Meje等學者,採用定容彈法對火焰傳播速度及其動力學模型進行了研究。其特點是結構簡單,能夠方便地改變燃空比、殘餘廢氣係數、壓力和溫度、湍流等熱力參數以及點火參數火花塞位置、電極間隙與點火能量,研究這些參數中單一參數的變化對燃燒過程的影響,是內燃機燃燒基礎研究中重要的平台。但是在試驗結果的計算過程中,需要考慮到火焰傳播過程對流和輻射產生的熱損失,以及溫度梯度對未燃氣密度的影響。

