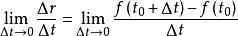
定義
導向量
導向量設向量值函式在點的某一鄰域內有定義,如果
導向量
導向量
導向量
導向量
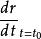
導向量存在,那么就稱這個極限向量為“ 向量值函式 在 處的導數”或“ 導向量”,記作或

多元函式微分學的幾何套用中出現的定義。
定義
導向量
導向量設向量值函式在點的某一鄰域內有定義,如果
導向量
導向量
導向量
導向量
導向量存在,那么就稱這個極限向量為“ 向量值函式 在 處的導數”或“ 導向量”,記作或
主要是依據心臟電激動的方向與大小在每一個瞬間是不同的,心電向量是記錄心臟 心電向量概念各瞬間產生的電激動在立體的方向及大小的一種特殊檢查。能較真實地記錄...
概念 方法操作 分析方法 正常心電向量 相關詞條向量函式(vector function)是向量分析中的基本概念。給出一個點集CU,並在G上選定一個坐標系.若對於G中每一個點p,總有三維歐氏空間R3中...
雅可比矩陣 套用法向量是空間解析幾何的一個概念,垂直於平面的直線所表示的向量為該平面的法向量。由於空間內有無數個直線垂直於已知平面,因此一個平面都存在無數個法向量(包括...
定義 計算 唯一性 變換 套用心肌細胞在除極和復極的過程中形成電偶,電偶既有數量大小,又有方向性,稱為電偶向量。電偶向量可以看作是單個心肌細胞的心電向量,它的數量大小就是電偶的電動勢...
介紹 心電向量圖 心電向量圖儀Vector-cardiographyroom[心向量室]檢測心臟,並形成心向量圖的科室。 故應確切地稱之為“二維心向量圖或平面心向量圖”,以區別理論上...
心向量圖的檢測評價 相關詞條 參考資料空間向量調變簡稱SVM或是SVPWM,是一種控制脈衝寬度調變(PWM)的算法,用來產生交流波形,多半是有直流電壓輸入,利用多組D級放大器輸出電壓,驅動三...
簡介 原理 SVPWM與PWM、SPWM的比較 特點右側面導聯心電圖,國際上公認並通用於臨床的十二導聯心電圖,仍然存在著“不能全方位的反映心臟(尤其是後壁)的電活動、導致方位死角”等缺陷。為彌補其不足,國...
簡介 方位、極性以及與右側面觀各部位的關係 右側面導聯心電圖的形態和特點內法向量是數學名詞,一般意義上的法線就是外法線,直接求偏導得到的就是外法向量的對應坐標。取其相反數就是內法向量。
導子代數(derivation algebra)是指由給定的非結合代數派生的一個李代數。給定的非結合代數的一些線性變換做成的代數。 非結合代數是抽象代數...
概念 結合代數 非結合代數 李代數 產生方式——線性變換